PRAVILNIK O OPACIMETRIMA("Sl. glasnik RS", br. 23/2026) |
Ovim pravilnikom bliže se propisuju zahtevi za opacimetre, označavanje opacimetara, način utvrđivanja ispunjenosti zahteva za opacimetre, način ispitivanja tipa opacimetara, metode merenja, kao i način i uslovi overavanja opacimetara.
Ovaj pravilnik primenjuje se na opacimetre koji se koriste u funkciji kontrole i bezbednosti saobraćaja pri tehničkom pregledu vozila na linijama tehničkog pregleda.
Pojedini izrazi upotrebljeni u ovom pravilniku imaju sledeće značenje:
1) opacimetar je merilo koje služi za merenje koncentracije čađi u izduvnim gasovima vozila sa dizel motorom i kojim se direktno meri slabljenje intenziteta svetlosnog snopa nakon propuštanja kroz uzorak izduvnog gasa tačno definisane dužine, pri čemu je to slabljenje srazmerno sadržaju čestica čađi koje imaju sposobnost da apsorbuju propuštenu svetlost;
2) apsorpcija svetlosti predstavlja transformaciju energije svetlosti u druge vidove energije interakcijom sa materijom;
3) upadni fluks Φupadni [W] - predstavlja količinu energije zračenja koji dospeva do spoljne površine merenog uzorka;
4) propušteni fluks Φpropušteni [W] - predstavlja količinu energije zračenja koji je prošao kroz mereni uzorak;
5) propustljivost T, predstavlja odnos između propuštenog i upadnog fluksa zračenja. Propustljivost se izražava u procentima, prema formuli:

6) opacitivnost - N, predstavlja deo svetlosti koja se apsorbuje kroz uzorak gasa u mernoj komori i izražava se formulom:
![]()
7) efektivna dužina komore - LA, predstavlja rastojanje koje svetlosni snop pređe kroz uzorak izduvnog gasa u mernoj komori između svetlosnog izvora i prijemnika svetlosti i čija je vrednost korigovana na neuniformnost koja je posledica gradijenta gustine izduvnog gasa i efekta krajeva komore;
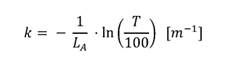
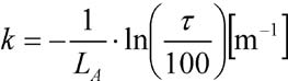
8) koeficijent apsorpcije svetlosti - k, predstavlja koeficijent definisan Beer-Lambert-ovim zakonom:

9) najveća dozvoljena greška (u daljem tekstu: NDG) je najveća pozitivna ili negativna vrednost greške pokazivanja opacimetra propisana ovim pravilnikom;
10) temperaturni opseg je područje temperature u kojem opacimetar ispunjava zahteve propisane ovim pravilnikom;
11) zakonski relevantan softver čine programi, podaci i parametri koji su sastavni deo opacimetra i koji određuju ili izvršavaju funkcije koje su predmet zakonske kontrole merila;
12) nazivni uslovi upotrebe su uslovi korišćenja opacimetra koji definišu opseg vrednosti uticajnih veličina za koje se očekuje da navedene metrološke karakteristike opacimetra ispunjavaju zahteve ovog pravilnika.
Drugi izrazi upotrebljeni u ovom pravilniku, koji nisu definisani u stavu 1. ovog člana, imaju značenje definisano zakonima kojima se uređuju metrologija i standardizacija.
Zahtevi za opacimetre dati su u Prilogu 1 - Zahtevi za opacimetre, koji je odštampan uz ovaj pravilnik i čini njegov sastavni deo.
Rezultati merenja opacimetrom izražavaju se u jedinicama opacitivnosti u procentima i/ili u koeficijentu apsorpcije izraženom u m-1.
Na opacimetar se postavljaju sledeći natpisi i oznake:
1) naziv merila: opacimetar;
2) oznaka tipa opacimetra;
3) poslovno ime ili naziv, odnosno znak proizvođača;
4) oznaka merne jedinice;
5) merni opseg opacimetra;
6) fabrički broj i godina proizvodnje opacimetra;
7) efektivna dužina merne komore;
8) napon napajanja.
Natpisi i oznake postavljaju se tako da budu vidljivi, čitljivi i neizbrisivi, odnosno da ih nije moguće ukloniti bez trajnog oštećenja.
Način utvrđivanja ispunjenosti zahteva
Ispunjenost metroloških zahteva utvrđuje se ispitivanjem tipa opacimetra koje obuhvata sledeće provere i ispitivanja:
1) vizuelni pregled;
2) ispitivanje greške;
3) temperaturno ispitivanje;
4) ispitivanje uticaja promene napona napajanja;
5) ispitivanje uticaja elektrostatičkog pražnjenja;
6) ispitivanje uticaja kondukcionih radiofrekvencijskih polja;
7) ispitivanje uticaja zračenih radiofrekvencijskih polja;
8) ispitivanje imunosti na električni brzi tranzijent/rafal;
9) ispitivanje imunosti na naponske udare;
10) ispitivanje imunosti na propade napona, kratke prekide i varijacije napona.
Način ispitivanja tipa opacimetra, odnosno metode merenja i ispitivanja iz stava 1. ovog člana date su u Prilogu 2 - Ispitivanje opacimetara, koji je odštampan uz ovaj pravilnik i čini njegov sastavni deo.
Overavanje opacimetra obuhvata:
1) vizuelni pregled na način propisan u odeljku 4. Priloga 2 ovog pravilnik;
2) proveru funkcionalnosti opacimetra;
3) ispitivanje opacimetra na način opisan u odeljku 5. Priloga 2 ovog pravilnika;
4) označavanje (žigosanje).
U postupku pregleda pri overavanju opacimetra koristi se oprema iz odeljka 1. Priloga 2 ovog pravilnika, a sledivost se obezbeđuje u skladu sa odeljkom 2. Priloga 2 ovog pravilnika.
Overavanje opacimetara se sprovodi u referentnim uslovima upotrebe iz odeljka 3. Priloga 2, ovog pravilnika.
Ukoliko se u postupku overavanja potvrdi da opacimetar ispunjava propisane metrološke zahteve, opacimetar se žigoše u skladu sa zakonom kojim se uređuje metrologija, propisom donetim na osnovu tog zakona i uverenjem o odobrenju tipa merila izdatim za taj tip opacimetra.
O overavanju opacimetra sačinjava se zapisnik koji je dat je u Prilogu 3 - Zapisnik o overavanju opacimetra, koji je odštampan uz ovaj pravilnik i čini njegov sastavni deo.
Opacimetar se može overavati samo ako je za to merilo izdato uverenje o odobrenju tipa u skladu sa propisom kojim se uređuju vrste merila koje podležu zakonskoj kontroli.
Overavanje opacimetra može biti prvo, periodično ili vanredno, u skladu sa zakonom kojim se uređuje metrologija.
Klauzula o jedinstvenom tržištu
Zahtevi ovog propisa za stavljanje na tržište opacimetara ne primenjuju se na opacimetre koji su zakonito stavljeni na tržište ostalih zemalja Evropske unije ili Turske, odnosno zakonito proizvedeni u državi potpisnici EFTA Sporazuma.
Izuzetno od stava 1. ovog člana, može se ograničiti stavljanje na tržište ili povući sa tržišta opacimetar iz stava 1. ovog člana, ukoliko se posle sprovedenog postupka iz Uredbe EU br. 2019/515, utvrdi da opacimetar iz stava 1. ovog člana ne može da ispuni zahteve ekvivalentne zahtevima koji su propisani ovim propisom.
Danom stupanja na snagu ovog pravilnika prestaje da važi Pravilnik o opacimetrima ("Službeni glasnik RS", broj 15/15).
Opacimetar za koji je do dana stupanja na snagu ovog pravilnika izdato uverenje o odobrenju tipa, može se stavljati na tržište do isteka roka važenja tog uverenja, ako je za taj opacimetar sproveden postupak overavanja iz člana 8. ovog pravilnika.
Opacimetar za koji je do dana stupanja na snagu ovog pravilnika izdato uverenje o odobrenju tipa, overava se u skladu sa ovim pravilnikom, ako u pogledu zahteva za overavanje ispunjava zahteve iz ovog pravilnika.
Ovaj pravilnik stupa na snagu osmog dana od dana objavljivanja u "Službenom glasniku Republike Srbije", osim člana 10. koji se primenjuje danom pristupanja Republike Srbije Evropskoj uniji.
ZAHTEVI ZA OPACIMETRE
1. Konstrukcija opacimetra
U zavisnosti od konstrukcije opacimetar može biti:
1) opacimetar sa potpunim protokom, koji je konstruisan tako da se gas koji se meri nalazi u izduvnoj cevi, na izlazu iz izduvne cevi ili unutar posebne merne komore konstruisane tako da kroz nju prolazi ukupan gas koji izađe iz izduvne cevi, ili
2) opacimetar sa delimičnim protokom, koji je konstruisan tako da kroz mernu komoru prolazi uzorak gasa izdvojen iz izduvne cevi.
2. Podela opacimetara prema merenoj veličini
U zavisnosti od merne veličine, opacimetar može biti:
1) opacimetar koji se koristi samo za merenje opacitivnosti i/ili
2) opacimetar za merenje koeficijenta apsorpcije svetlosti.
3. Podela opacimetara prema režimu rada
Po načinu merenja opacimetri mogu izvršiti merenje u ustaljenom, stacionarnom režimu rada ili u prelaznom režimu rada (test slobodnog ubrzanja). Merenje u stacionarnom režimu rada podrazumeva da motor radi sa konstantnom brzinom obrtaja motora pod stabilnim uslovima. Merenje u prelaznom režimu rada podrazumeva da motor radi sa promenljivom brzinom obrtaja motora.
4. Sastavni delovi opacimetra su:
1) merna komora (zona merenja);
2) svetlosni izvor;
3) prijemnik svetlosti;
4) uređaj za regulaciju temperature u mernoj komori;
5) uređaj za ispiranje merne komore;
6) pokazni uređaj;
7) sonda za uvođenje izduvnih gasova u mernu komoru;
8) jedinica za obradu podataka;
9) napajački sklop;
10) filter koeficijenta propustljivosti za proveru ispravnosti opacimetra.
5. Zona merenja
Zona merenja je deo uređaja u kome se vrši merenje. Kod opacimetara sa mernom komorom, zona merenja je:
1) ograničena delovima uređaja za zaštitu svetlosnog izvora i prijemnika;
2) paralelna sa pravcem protoka gasa, ograničena krajevima merne komore;
3) normalna na pravac protoka gasa, ograničena sa dve imaginarne ravni (prva predstavlja početak gasnog stuba dok druga predstavlja kraj gasnog stuba) koje su tangencijalne na svetlosni snop.
Kod opacimetara kod kojih se merenje vrši u samoj izduvnoj cevi na njenom kraju, zonu merenja predstavlja deo izduvne cevi čija je dubina jednaka rastojanju između dve imaginarne ravni gde prva predstavlja početak gasnog stuba, dok druga predstavlja kraj gasnog stuba i paralelna je protoku gasa.
6. Svetlosni izvor
Svetlosni izvor je inkadescentna sijalica temperature boje u opsegu od 2800 K do 3250 K ili zelena svetlosno emitujuća dioda (LED) čija je maksimalna svetlosna emisivnost između 550 nm i 570 nm.
7. Prijemnik svetlosti
Prijemnik svetlosti je fotoćelija ili fotodioda koja u slučaju kada je izvor svetlosti inkadescentna sijalica mora imati relativnu spektralnu osetljivost približnu krivoj spektralne osetljivosti ljudskog oka tako da je maksimalna spektralna osetljivost u opsegu od 550 nm do 570 nm, odnosno da je manja od 4% od vrednosti maksimalne osetljivosti za talasne dužine ispod 430 nm i iznad 680 nm.
8. Optički sistem
Konstrukcija optičkog sistema opacimetra obezbeđuje da svetlosni snop bude paralelan u okviru 3° od optičke ose i da na prijemnik ne utiču direktni ili reflektovani zraci čiji upadni ugao odstupa više od 3° od optičke ose.
9. Podešavanje nule
Električno kolo svetlosnog izvora i prijemnika omogućava da se očitavanje merila podesi na nulu kada svetlosni snop prolazi kroz zonu merenja koja je ispunjena čistim vazduhom.
10. Efektivna dužina komore
Kod opacimetara koji mere koeficijent apsorpcije svetlosti, efektivna dužina komore - LA, naznačena je na uređaju i jasno definisana u podacima datim od strane proizvođača.
11. Ispiranje komore
Opacimetar se koristi u dovoljno dugačkom vremenskom periodu bez zaprljanja izvora svetlosti ili prijemnika. Sistem ispiranja merne komore ne utiče na promenu efektivne dužine puta više od ± 2,0%.
12. Opseg merenja
Opseg merenja opacimetra je od 0% do 100% slabljenja svetlosnog snopa, odnosno za opacimetre koji mere koeficijent apsorpcije svetlosti od 0 m-1 do najmanje 9,99 m-1.
13. Rezolucija pokazivača opacimetra
Rezolucija pokazivača opacimetra je 0,1% od vrednosti pune skale, odnosno za opacimetre koji mere koeficijent apsorpcije svetlosti 0,01 m-1.
14. Promena nulte vrednosti u vremenu
Nula pokaznog mernog instrumenta u toku jednog sata ili u toku trajanja ispitivanja ne menja se više od ± 0,5% pri merenju opacitivnosti.
15. NDG
NDG opacimetra iznosi 3,0% pri merenju opacitivnosti odnosno 0,07 m-1 pri merenju koeficijenta apsorpcije svetlosti, duž celog mernog opsega za etalonski neutralni optički filter čija relativna proširena merna nesigurnost koeficijenta propustljivosti nije veća od 1,0%.
16. Vreme postizanja radnih parametara
Zagrevanje merne komore i stabilizacija radnih parametara opacimetra po uključivanju ne traje duže od 15 minuta.
17. Zaštita metroloških karakteristika opacimetra
Metrološke karakteristike opacimetra se zaštićuju mehaničkom zaštitom a njegov zakonski relevantan softver se obezbeđuje od neovlašćene modifikacije preko elektronskog koda proizvođača. Ulazak u režim rada za ispitivanje prilikom overavanja elektronski je zaštićen i nedostupan u redovnoj upotrebi opacimetra. Softver i firmver opacimetra projektuje se i izrađuje tako da je moguća identifikacija zakonski relevantnog softvera. Identifikacija zakonski relevantnog softvera kao i način i sredstva te identifikacije navode se u prvom overavanju merila. Uverenje odobrenju tipa opacimetra ostaje važeći pri promeni verzije softvera ili firmvera ako podnosilac zahteva dostavi izjavu od proizvođača uređaja da u novoj verziji nije došlo do promene metroloških osobina uređaja.
ISPITIVANJE OPACIMETARA
1. Oprema za ispitivanje
Oprema za ispitivanje opacimetra u pogledu njegove usaglašenosti sa zahtevima propisanim ovim pravilnikom, sastoji se od:
1) etalonskih filtera koeficijenta propustljivosti čija vrednost relativne proširene merne nesigurnosti nije veća od 1%;
2) termometra za merenje temperature tokom ispitivanja, sa mernim opsegom od najmanje -10 oC do 50 oC i čija je vrednost podeljka najmanje 0,2 oC.
2. Sledivost
Etalonski filteri koeficijenta propustljivosti koji se koriste za ispitivanje tipa opacimetra etaloniraju se radi obezbeđivanja sledivosti do nacionalnih ili međunarodnih etalona.
3. Referentni uslovi upotrebe
Opacimetar se ispituje i overava u sledećim uslovima:
1) temperatura vazduha: nazivni opseg temperature koji je proizvođač naveo, pri čemu se tokom ispitivanja i overavanja temperatura ne može promeniti za više od 5 oC;
2) napon napajanja: nazivni opseg napona napajanja koji je proizvođač naveo.
4. Vizuelni pregled opacimetra
Vizuelnim pregledom proverava se da li je opacimetar u potpunosti u skladu sa uverenjem o odobrenju tipa izdatim za taj tip opacimetra.
Pri ispitivanju opacimetra vizuelnim pregledom proverava se kompletnost tehničke dokumentacije izdate od strane proizvođača, funkcionalnost i kompletnost kao i ispunjenost onih zahteva koji se mogu proveriti isključivo vizuelnim putem.
5. Postupci ispitivanja
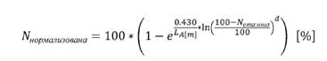
5.1 Određivanje greške
Određivanje greške opacimetra - ΔN, vrši se poređenjem očitane vrednosti opacitivnosti koju prikazuje opacimetar - Nočitana sa normalizovanom vrednošću opacitivnosti koju reprodukuje etalonski filter kada bi efektivna dužina komore iznosila 0,430 m. - Nnormalizovana
![]()
Dužinu merne komore određuje proizvođač konstrukcionim rešenjem.
Normalizacija opacitivnosti vrši se prema formuli:

gde je:
Nnormalizovana - normalizovana vrednost opacitivnosti
Netalona - vrednost opacitivnosti etalonskog filtera
LA - efektivna dužina komore
d=1 za opacimetar sa izvorom i prijemnikom svetlosti na suprotnim stranama komore
d=2 za opacimetar sa ogledalom na jednoj strani komore tj. izvorom i prijemnikom svetlosti na istoj strani komore
Ispitivanje greške merenja koeficijenta apsorpcije opacimetra - Δk određuje se poređenjem vrednosti koeficijenta apsorpcije koja se očitava sa opacimetra sa vrednošću koju reprodukuje etalonski filter opacitivnosti koja se može izračunati prema formuli:

gde je:
ketalona - normalizovana vrednost opacitivnosti
Netalona - vrednost opacitivnosti etalonskog filtera [%]
LA - efektivna dužina komore
d=1 za opacimetar sa izvorom i prijemnikom svetlosti na suprotnim stranama komore
d=2 za opacimetar sa ogledalom na jednoj strani komore tj. izvorom i prijemnikom svetlosti na istoj strani komore
Rezultati merenja prikazuju se na displeju opacimetra kao vrednost opacitivnosti izražena u procentima i/ili kao vrednost koeficijenta apsorpcije izražene u m-1.
Određivanje greške sprovodi se u najmanje tri merne tačke ravnomerno raspoređene između 15% i 80% vrednosti opacitivnosti duž celog mernog opsega isključujući donju i gornju mernu granicu mernog opsega. Potrebno je izvršiti po deset nezavisnih očitavanja opacitivnosti i/ili koeficijenta apsorpcije u svakoj mernoj tački.
Etalonski filter se postavlja u položaj normalan na pravac prostiranja svetlosnog zraka u mernoj komori preko namenskog otvora na opacimetru.
Pre početka ispitivanja vrši se zagrevanje i stabilizacija radnih parametara i podešavanje nule opacimetra.
5.2. Temperaturno ispitivanje
Ispitivanje se vrši na način opisan u pododeljku 5.1. ovog priloga pri čemu se proverava da li je greška pokazivanja u skladu sa zahtevom iz odeljka 15. Priloga 1 ovog pravilnika.
5.3. Ispitivanje uticaja promena napona napajanja
Ispitivanje se sprovodi na način opisan u pododeljku 5.1. ovog priloga za sledeće vrednosti napona napajanja:
1) Umax = 1,1Unom i Umin = 0,85Unom za opacimetre sa jedinstvenom nazivnom vrednošću mrežnog napona napajanja;
2) Umax = 1,1UN2 i Umin = 0,85UN1 za opacimetre sa nazivnim opsegom mrežnog napona napajanja od UN1 do UN2;
3) Umax = Ubat.max i Umin = Ubat.min za opacimetre sa baterijskim napajanjem, gde je Ubat.min najmanji radni napon baterije koji je naveo proizvođač manometra i Ubat.max nazivni napon baterije.
Tokom ispitivanja proverava se ispravnost funkcionisanja opacimetra i ispunjenost zahteva za NDG iz odeljka 15. Priloga 1 ovog pravilnika.
ZAPISNIK O OVERAVANJU OPACIMETRA
Broj zapisnika: |
Datum: |
||||
PODACI O PODNOSIOCU ZAHTEVA |
|||||
Broj i datum podnošenja zahteva |
|
||||
Podnosilac zahteva |
|
||||
Adresa i sedište |
|
||||
Lice koje je pripremilo merilo |
|
||||
PODACI O LICIMA KOJA SU IZVRŠILA PREGLED MERILA |
|||||
Ime i prezime |
|
||||
|
|||||
PODACI O MERILU |
|||||
Mesto pregleda merila: |
|
||||
Proizvođač |
|
||||
Tip |
|
||||
Fabrički broj / god. proizvodnje |
|
||||
Službena oznaka tipa merila |
|
||||
Opseg merenja |
Opacitivnost (%): |
||||
Koeficijent apsorpcije (m-1): |
|||||
Rezolucija prikazivača |
Opacitivnost (%): |
||||
Koeficijent apsorpcije (m-1): |
|||||
Efekt. dužina merne komore (m) |
|
||||
PODACI O PREGLEDU |
PRVI |
PERIODIČNI |
VANREDAN |
||
Referentni uslovi |
|
||||
Metodologija pregleda |
|
||||
1. SPOLJAŠNJI PREGLED MERILA |
Zadovoljava |
||||
Natpisi i oznake (razumljive, jasne, trajne) |
DA |
NE |
|||
Merilo odgovara opisu i fotografiji iz uverenja o odobrenju tipa merila |
DA |
NE |
|||
Postojanje plombe na merilu (celovite, neoštećene i važeće) |
DA |
NE |
|||
ZAKLJUČAK NA OSNOVU SPOLJAŠNJEG PREGLEDA MERILA |
|||||
Spoljašnjim pregledom opacimetra utvrđeno je da merilo ISPUNJAVA / NE ISPUNJAVA metrološke zahteve propisane Pravilnikom o opacimetrima ("Službeni glasnik RS", broj___). |
|||||
ZAPISNIK O OVERAVANJU OPACIMETRA
2. PROVERA TAČNOSTI MERILA |
Zadovoljava |
||||||||||
2.1 Provera opsega merenja |
|||||||||||
Očitavanje kada je blokiran izvor svetlosti |
___________% |
DA |
NE |
||||||||
Očitavanje kada je u komori čist vazduh |
______% u toku ______minuta |
DA |
NE |
||||||||
2.2 Utvrđivanje greške merila |
DA |
NE |
|||||||||
Uzorak |
Etalonska vrednost opacitivnosti filtera |
Normalizovana vrednost opacitivnosti filtera |
Očitavanje opacimetra |
Greška |
|||||||
% |
m-1 |
% |
m-1 |
% |
m-1 |
% |
m-1 |
||||
1. |
|
|
|
|
|
|
|
|
|||
2. |
|
|
|
|
|
|
|
|
|||
3. |
|
|
|
|
|
|
|
|
|||
Kriterijumi prihvatljivosti |
NDG opacimetra iznosi 3,0% pri merenju opacitivnosti, odnosno 0,07 m-1 pri merenju koeficijenta apsorpcije svetlosti, duž celog mernog opsega za etalonski neutralni optički filter čija relativna proširena merna nesigurnost koeficijenta propustljivosti nije veća od 1,0%. |
||||||||||
3. ŽIGOSANJE MERILA |
DA |
NE |
|||||||||
Broj skinutog žiga |
intervalski |
|
Broj postavljenog žiga |
intervalski |
|
||||||
zaštitni |
|
zaštitni |
|
||||||||
Zahtev za izdavanje uverenja o overavanju |
DA |
NE |
|||||||||
Zapažanja i komentari / razlozi odbijanja: |
|||||||||||
4. ZAKLJUČAK |
|||||||||||
Pregledom merila utvrđeno je da merilo ISPUNJAVA / NE ISPUNJAVA metrološke zahteve propisane Pravilnikom o opacimetrima ("Službeni glasnik RS", broj___). |
|||||||||||
• Rezultati pregleda se odnose isključivo na merilo koje je bilo predmet overavanja.
|
Pregled izvršili: 1. 2. |
|









