PRAVILNIK O ETILOMETRIMA("Sl. glasnik RS", br. 124/2014) |
Ovim pravilnikom bliže se propisuju zahtevi za etilometre, označavanje etilometara, način utvrđivanja ispunjenosti zahteva za etilometre, način ispitivanja tipa etilometara, metode merenja, kao i način i uslovi overavanja etilometara.
Ovaj pravilnik primenjuje se na etilometre koji mere i prikazuju masenu koncentraciju alkohola u izdahu ispitanika.
Za potrebe ovog pravilnika, pod alkoholom se podrazumeva samo etil-alkohol (etanol).
Pojedini izrazi koji se upotrebljavaju u ovom pravilniku imaju sledeće značenje:
1) etilometar je merilo koje meri i prikazuje masenu koncentraciju alkohola u izdahu ispitanika unutar propisanih granica greške;
2) neprenosivi etilometri su etilometri koji se upotrebljavaju samo u određenom prostoru, pod kontrolisanim radnim uslovima;
3) prenosivi etilometri su etilometri koji se upotrebljavaju kao prenosiva merila (na primer u vozilima);
4) ručni etilometri su etilometri koji se upotrebljavaju unutar ili izvan objekata i kao prenosiva merila, najčešće sa nezavisnim napajanjem uz pomoć baterija;
5) vazduh iz alveola je vazduh koji se nalazi u plućnim alveolama u kojima se vrši razmena gasova između krvi i gasa koji se nalazi u alveolama;
6) ukupni izdahnuti vazduh je vazduh za koji se smatra da je dovoljno reprezentativan za vazduh iz alveola;
7) režim merenja je jasno naznačen režim u kojem etilometar može da vrši merenja brzinom koja se očekuje u redovnoj upotrebi, tako da ispuni zahteve propisane ovim pravilnikom;
8) režim održavanja je jasno naznačen režim u kome etilometar može biti podešavan i ovaj režim je predmet metrološke kontrole;
9) režim pripravnosti je jasno naznačen režim u kome, u cilju čuvanja energije i radi produžetka radnog veka komponenata etilometra, samo određena elektronska kola ostaju pod naponom. Iz režima pripravnosti moguće je brže pokrenuti režim merenja nego pokretanjem isključenog etilometra;
10) uređaj za podešavanje etilometra je uređaj koji omogućava podešavanje etilometra dok se nalazi u režimu održavanja;
11) greška merenja je izmerena vrednost masenog sadržaja alkohola koju prikazuje etilometar, umanjena za referentnu vrednost merene veličine;
12) najveća dozvoljena greška (u daljem tekstu: NDG) je ekstremna vrednost greške merenja, u odnosu na poznatu referentnu vrednost masenog sadržaja alkohola, propisana ovim pravilnikom;
13) sopstvena greška je greška etilometra koja je određena pod referentnim uslovima;
14) značajna greška je razlika između greške merenja i sopstvene greške i veća je od vrednosti NDG koje su definisane ovim pravilnikom. Značajne greške se odnose samo na elektronske merne sisteme;
15) smetnje su uticajne veličine čija se vrednost nalazi unutar granica propisanih ovim pravilnikom, ali izvan navedenih radnih uslova etilometra. Bilo koja uticajna veličina je smetnja ukoliko radni uslovi za tu uticajnu veličinu nisu navedeni;
16) oprema za automatsko proveravanje je interna oprema ili proces koji proverava da li je etilometar odgovarajuće podešen. Deo ove opreme mogu činiti interni elementi provere (npr. stabilnost signala ili temperature) ili dodatni eksterni elementi koji se povezuju na etilometar, kao što su optički ili električni filteri ili gasne smeše poznate koncentracije;
17) pomak je promena pokazivanja merila za istu masenu koncentraciju alkohola koja se dešava u određenom vremenskom periodu, za datu masenu koncentraciju alkohola u vazduhu;
18) efekat pamćenja je razlika između rezultata merenja uzoraka iste masene koncentracije alkohola, kada su između tih uzoraka umetnuti uzorci koji sadrže definisane više masene koncentracije alkohola;
19) nazivni uslovi upotrebe su uslovi korišćenja etilometra koji definišu opseg vrednosti uticajnih veličina za koje se očekuje da navedene metrološke karakteristike etilometra ispunjavaju zahteve ovog pravilnika;
20) usnici su prateća oprema etilometra i obezbeđuju vezu između usta ispitanika i etilometra;
21) injektovanje je proces unošenja uzorka ispitnog gasa u etilometar.
Drugi izrazi koji se upotrebljavaju u ovom pravilniku, a nisu definisani u stavu 1. ovog člana, imaju značenje definisano zakonima kojima se uređuju metrologija i standardizacija.
Zahtevi za etilometre dati su u Prilogu 1 - Zahtevi, koji je odštampan uz ovaj pravilnik i čini njegov sastavni deo.
Etilometar prikazuje rezultate merenja u obliku masene koncentracije alkohola u jedinici zapremine izdahnutog vazduha. Rezultat merenja može biti i odštampan i/ili sačuvan u memoriji etilometra.
Masena koncentracija alkohola izražava se u miligramima po litru izdahnutog vazduha (mg/l).
Proizvođač etilometra sačinjava tehničku dokumentaciju koja omogućava ocenjivanje usaglašenosti etilometra sa zahtevima iz člana 4. ovog pravilnika. Tehnička dokumentacija prati svaki pojedinačni etilometar i štampana je na srpskom jeziku.
Tehnička dokumentacija sadrži naročito:
1) opis opšteg principa merenja etilometra;
2) uputstvo za upotrebu etilometra;
3) najniže i najviše temperature skladištenja, kao i druge relevantne mehaničke i elektromagnetne uslove sredine;
4) radne uslove;
5) vreme zagrevanja nakon uključivanja električnog napajanja;
6) verziju softvera etilometra;
7) uslove za bezbedan i siguran rad.
Sistem za uzorkovanje etilometra, uključujući i usnike, konstruisan je tako da je onemogućeno da ispitanik udiše kontaminirani vazduh od prethodne upotrebe etilometra, kao i prolaženje čvrstih materija i kapljica tečnosti iz izdaha u etilometar.
Usnici su zasebno upakovani i koriste se jednokratno, za svako pojedinačno merenje.
Na etilometar se postavljaju sledeći natpisi i oznake:
1) službena oznaka tipa iz uverenja o odobrenju tipa merila;
2) poslovno ime, odnosno naziv ili znak proizvođača;
3) godina proizvodnje i serijski broj etilometra;
4) proizvodna oznaka etilometra (tip, odnosno model etilometra);
5) serijski broj;
6) merni opseg;
7) podaci o električnom napajanju;
a) u slučaju mrežnog napajanja: nazivne vrednosti napona, frekvencije i struje;
b) u slučaju napajanja preko akumulatora vozila: nazivnu vrednost napona akumulatora i snage;
v) u slučaju unutrašnjeg baterijskog napajanja: tip i nazivnu vrednost napona baterije i struje;
8) temperaturni opseg okoline.
Identifikacija softvera prikazana je na pokaznom uređaju etilometra.
Ukoliko veličina etilometra ne dozvoljava postavljanje svih navedenih natpisa i oznaka, natpisi i oznake iz stava 1. tač. 6) i 8) ovog člana navode se u uputstvu za upotrebu.
Etilometar se overava samo ako je za to merilo izdato uverenje o odobrenju tipa, u skladu sa propisom kojim se uređuju vrste merila za koje je obavezno overavanje i vremenski intervali njihovog periodičnog overavanja.
Overavanje etilometara može biti prvo, redovno ili vanredno, u skladu sa zakonom kojim se uređuje metrologija.
Način utvrđivanja ispunjenosti zahteva
Ispunjenost metroloških zahteva utvrđuje se upotrebom referentnih materijala - ispitnog vlažnog gasa (vazduha) čija je masena koncentracija alkohola u direktnoj vezi sa masenom koncentracijom alkohola u vodenom rastvoru alkohola kroz koji se produvava vazduh.
Odnos masenih koncentracija alkohola u vlažnom gasu (vazduhu) i alkohola u vodenom rastvoru dat je jednačinom:
Cgas = 0,04145 * 10-3 * CH2O * e0,06583*t
gde je: Cgas - masena koncentracija alkohola u vlažnom gasu (vazduhu);
CH2O - masena koncentracija alkohola u vodenom rastvoru alkohola;
t - temperatura u stepenima Celzijusa.
Za t = 34 °C, jednačina glasi:
Cgas = 0,38866 * 10-3 * CH2O
Ispitivanje tipa etilometra obuhvata:
1) proveru uputstva za upotrebu etilometra;
2) vizuelni pregled etilometra;
3) ispitivanja tačnosti, ponovljivosti, pomaka merila i efekta pamćenja;
4) ispitivanja na uticaje od injektovanja, temperature sredine, vlažnosti vazduha okolne sredine, niskog napona unutrašnje baterije.
Način ispitivanja tipa etilometara, odnosno metode merenja i ispitivanja dati su u Prilogu 2 - Utvrđivanje ispunjenosti zahteva, koji je odštampan uz ovaj pravilnik i čini njegov sastavni deo.
Overavanje etilometara obuhvata:
1) vizuelni pregled i proveru funkcionalnosti etilometra;
2) ispitivanje tačnosti etilometra.
Etilometri se overavaju pojedinačno.
Vizuelnim pregledom i proverom funkcionalnosti iz stava 1. tačka 1) ovog člana proverava se da li je etilometar u potpunosti u skladu sa uverenjem o odobrenju tipa merila izdatim za taj tip etilometra, odnosno da nema oštećenja pokaznog uređaja ili drugih delova koji mogu uticati na funkcionalnost etilometra.
Ispitivanje tačnosti iz stava 1. tačka 2) ovog člana vrši se na način opisan u podtački 3.3.1.1. Priloga 2 ovog pravilnika, tako da se ispitivanjem proverava ispunjenost zahteva za NDG iz pododeljka 1.3. Priloga 1 ovog pravilnika, kada etilometar radi u referentnim uslovima iz tačke 3.2.1. Priloga 2 ovog pravilnika, za prvo, redovno i vanredno overavanje etilometra.
Ispitivanje tačnosti iz stava 1. tačka 2) ovog člana vrši se u tri tačke ravnomerno raspoređene prema mernom opsegu etilometra, uz obaveznu proveru nule etilometra. Prilikom ispitivanja tačnosti etilometra za prvo, redovno i vanredno overavanje koriste se referentni rastvori - vlažni gasovi čije masene koncentracije odgovaraju gasovima broj 1 i broj 4 iz Tabele 1 podtačke 3.3.1.1. Priloga 2 ovog pravilnika, kao i druga dva vlažna gasa čije masene koncentracije odgovaraju sredini i gornjem delu mernog opsega etilometra.
Ukoliko se vizuelnim pregledom, proverom funkcionalnosti i ispitivanjem tačnosti utvrdi da etilometar ispunjava propisane metrološke zahteve, etilometar se žigoše u skladu sa zakonom kojim se uređuje metrologija, propisom donetim na osnovu tog zakona i uverenjem o odobrenju tipa merila izdatim za taj tip etilometra.
Proizvođač etilometra obezbeđuje zaštitno žigosanje svih delova etilometra koji nisu na drugi način zaštićeni od podešavanja, odnosno zamene delova kojima bi se uticalo na metrološke karakteristike i integritet softvera etilometra.
Ukoliko je etilometar opremljen filterom za vazduh, njegova zamena se vrši tako da se ne uništi žig. Sve druge vrste filtera nalaze se unutar žigom zaštićenog dela etilometra.
Načini i uslovi overavanja etilometara dati su u Prilogu 1 i Prilogu 2 ovog pravilnika.
Danom početka primene ovog pravilnika prestaju da važe Pravilnik o metrološkim uslovima za etilometre ("Službeni list SFRJ", broj 42/91) i Metrološko uputstvo za pregled etilometara ("Glasnik SZMDM", broj 3/96).
Ovaj pravilnik stupa na snagu osmog dana od dana objavljivanja u "Službenom glasniku Republike Srbije", a primenjuje se od 1. aprila 2015. godine.
ZAHTEVI
1. Metrološki zahtevi
1.1. Merni opseg
Merni opseg etilometra je od 0,000 mg/l do najmanje 2,000 mg/l. Za merene vrednosti jednake ili manje od 0,050 mg/l etilometar pokazuje nultu vrednost. U režimu održavanja ova funkcija etilometra se isključuje.
Gornja granica mernog opsega definisana je od strane proizvođača.
Etilometar pokazuje kada je prekoračena gornja granica mernog opsega.
1.2. Vrednost podeljka skale
U režimu merenja vrednost podeljka skale, odnosno vrednost digita na pokaznom uređaju etilometra manja je ili jednaka 0,01 mg/l.
U režimu održavanja može biti omogućeno prikazivanje vrednosti podeljka skale, odnosno vrednost digita na pokaznom uređaju etilometra do 0,001 mg/l. Ova vrednost podeljka skale se koristi za metrološku kontrolu etilometara.
Izmerena vrednost sa tri decimalna mesta zaokružuje se na dva decimalna mesta (npr. izmerena vrednost 0,427 mg/l zaokružuje se na 0,42 mg/l).
1.3. NDG
NDG prilikom odobrenja tipa, prvog overavanja i vanrednog overavanja je ± 0,020 mg/l ili ± 5% od referentne vrednosti masene koncentracije alkohola, koja god je od te dve vrednosti veća, za opseg koncentracija do 1,000 mg/l.
Za opseg koncentracija preko 1,000 mg/l NDG je:
|
||||||||
NDG za etilometre u upotrebi, odnosno prilikom periodičnog overavanja je ± 0,030 mg/l ili ± 7,5% od referentne vrednosti masene koncentracije, koja god je od te dve vrednosti veća za opseg koncentracija do 1,000 mg/l.
Za opseg koncentracija preko 1,000 mg/l NDG je:
|
|
1.4. Ponovljivost
Ponovljivost merenja etilometra je izražena kao eksperimentalna standardna devijacija za dati broj rezultata merenja.
Eksperimentalna standardna devijacija za sve masene koncentracije manja je ili jednaka jednoj trećini NDG.
1.5. Pomak
1.5.1. Pomak nule
Pomak nule koji se meri u referentnim uslovima definisanim u tački 3.2.1. Priloga 2 ovog pravilnika na 0,00 mg/l manji je od 0,010 mg/l u toku četiri časa.
1.5.2. Pomak na koncentraciji od 0,40 mg/l
1.5.2.1. Kratkotrajni pomak
Kratkotrajni pomak pokazivanja etilometra koji se meri u referentnim uslovima definisanim u tački 3.2.1. Priloga 2 ovog pravilnika na 0,40 mg/l manji je od 0,010 mg/l u toku četiri časa.
1.5.2.2. Dugotrajni pomak
Dugotrajni pomak pokazivanja etilometra koji se meri u referentnim uslovima definisanim u tački 3.2.1. Priloga 2 ovog pravilnika na 0,40 mg/l manji je od 0,020 mg/l u toku dva meseca.
1.6. Efekat pamćenja
Efekat pamćenja pri velikim razlikama u koncentraciji kao i pri malim razlikama u koncentraciji prilikom ispitivanja iz tačke 3.3.3. Priloga 2 ovog pravilnika manji je od 0,010 mg/l.
1.7. Minimalni zahtevi za nazivne uslove upotrebe
Etilometar je projektovan i proizveden tako da njegove greške ne prelaze NDG date u pododeljku 1.3. ovog priloga pod sledećim nazivnim uslovima upotrebe:
a |
Temperatura okoline |
najniža |
+ 5 °C za neprenosive etilometre |
najviša |
+ 30 °C za neprenosive etilometre |
||
b |
Relativna vlažnost |
do 85%, tokom dva dana za prenosive i ručne etilometre |
|
v |
Napon interne baterije |
Svi naponi između napona novih ili sveže napunjenih baterija, do najnižih napona pri kojima merila pravilno funkcionišu u okviru NDG, prema specifikacijama datim od strane proizvođača. |
|
g |
Napon akumulatorske baterije vozila |
12 V baterija |
od 9 V do 16 V |
24 V baterija |
od 16 V do 32 V |
||
Odredbe ovog pododeljka primenjuju se posebno na svaki uticajni faktor i pri svakom određivanju greške.
1.8. Uslovi uzorkovanja
Etilometar prikazuje poruku o grešci ako pri izdahu nisu ispunjeni uslovi koje je naveo proizvođač i koji omogućavaju merenje. Ovi uslovi su u skladu sa sledećim vrednostima:
- zapremina izdaha: veća ili jednaka 1,2 l;
- povratni pritisak: ne prelazi 25 hPa (pri protoku od 12 l/min);
- protok: veći ili jednak 6 l/min;
- vreme izdaha: veće ili jednako 5 s.
2. Tehnički zahtevi
2.1. Pokazni uređaj etilometra
Pokazni uređaj etilometra ima skalu ili digitalno pokazivanje, pri čemu se izmerena vrednost iskazuje ciframa uzastopno poređanim u istom nizu.
Etilometar pokazuje samo krajnji rezultat posle završenog ciklusa merenja. Uređaj za štampanje prikazuje isti rezultat kao i pokazni uređaj etilometra. Štampanje rezultata merenja nije moguće pre završetka ciklusa merenja.
Očitavanje rezultata (na pokaznom uređaju, ili kao odštampan) je pouzdano, lako i nedvosmisleno u normalnim uslovima korišćenja.
U režimu merenja, etilometar prikazuje rezultat sa najmanje dva decimalna mesta (npr. izmerena vrednost 0,427 mg/l prikazuje se kao 0,42 mg/l u režimu merenja) na koja se zaokružuje.
U režimu održavanja rezultat se prikazuje sa najmanje tri decimalna mesta (npr. izmerena vrednost 0,427 mg/l prikazuje se kao 0,427 mg/l u režimu održavanja).
Visina cifara na pokaznom uređaju je najmanje:
- 5 mm za osvetljene pokazne uređaje, i
- 10 mm u svim drugim slučajevima.
Oznake mernih jedinica, prikazuju se pored prikazanog rezultata merenja. Oznake mernih jedinica su visine najmanje 3 mm. Ako prikazane vrednosti nisu osvetljene, pokazni uređaj ima uređaj za osvetljenje.
Etilometar je konstruisan tako da se, kada je rezultat merenja nula, ovakav rezultat ne može slučajno protumačiti kao prikazivanje nule koje prethodi merenju.
Etilometar čuva rezultate koji su čitljivi i u dostupnom obliku najmanje 15 min posle izvršenog merenja.
Ako se druga merenja vrše tokom ovog perioda, prethodni rezultat mora biti dostupan bez nedvosmislenosti.
Ako ovaj uslov može biti ispunjen samo štampanjem rezultata, nedostatak papira u štampaču sprečava dalja merenja.
2.2. Zaštita od zloupotrebe
Delovi etilometra u sklopu uređaja za obradu primarnog signala i pokaznog uređaja koji služe za podešavanje metroloških karakteristika etilometra, pre svega njegove osetljivosti i nule, nisu pristupačni korisniku.
Etilometar nema karakteristike koje olakšavaju zloupotrebu prilikom korišćenja, bilo slučajno ili namerno, kada se etilometar koristi u skladu sa uputstvom proizvođača, a mogućnost za zloupotrebu je minimalna.
Etilometar je konstruisan tako da je:
- onemogućeno bilo kakvo podešavanje bez uklanjanja žiga, osim u režimu održavanja (sa ograničenim pristupom);
- mogućnost izmene softvera u skladu sa tačkom 2.4.2. ovog priloga;
- rizik od namernog uticaja mobilnog telefona ili statičkog magneta sveden na minimum;
- čuvanje podataka skladu sa pododeljkom 2.5. ovog priloga;
- pristup režimu održavanja ograničen samo na ovlašćena lica.
2.3. Povera funkcionalnosti etilometra
Prilikom uključivanja, etilometar automatski proverava ispravnost. Kada se detektuje kvar ili signal greške, merilo daje poruku o grešci i ne dozvoljava dalje merenje.
Etilometar automatski proverava ispravnost pre svakog merenja i posle bilo kog merenja čiji je rezultat van mernog opsega.
2.3.1. Vreme zagrevanja
Pod referentnim uslovima definisanim u tački 3.2.1. Priloga 2 ovog pravilnika, etilometar dostiže režim merenja posle perioda zagrevanja određenog od strane proizvođača (ne većeg od 15 min), nakon što je uključen, ili za manje od 5 min nakon prelaska iz režima pripravnosti u režim za merenje.
2.3.2. Pripravnost za merenje
Nakon uspešne provere funkcionalnosti koje obuhvata i automatsko podešavanje pomoću ugradnog uređaja za automatsku proveru, etilometar označava da je spreman za uzorkovanje i ostaje pripravan da prihvati izdah ispitanika u vremenu od najmanje jednog minuta.
Etilometar pokazuje da je spreman za početak merenja i ne obavlja merenja sve dok nije spreman da to i učini. Kada posle navedenog vremenskog perioda merilo više nije spremno da vrši merenja, ono to jasno pokazuje.
Etilometar prati kontinuitet izdaha u nazivnim uslovima upotrebe i pokazuje ako je protok vazduha prilikom izdaha prekinut između početka i kraja uzorkovanja. Signal (npr. zvučni) pokazuje kontinuitet izdaha. Izdah se prekida ukoliko je protok ispod protoka koji je naveden u pododeljku 1.8. ovog priloga.
2.3.3. Kontinuitet uzorkovanja (izdisanja)
Etilometar je opremljen funkcijom koja automatski prati kontinuitet uzorkovanja u nazivnim uslovima upotrebe i ukazuje na prekid u izdisanju između početka i kraja uzorkovanja.
Smatra se da je izdisanje imalo prekid ukoliko je protok gasa manji od protoka koji je definisan u pododeljku 1.8. ovog priloga.
2.4. Softver
2.4.1. Identifikacija softvera
Softver etilometra je jasno identifikovan (npr. poslednjim kontrolnim zbirom - checksum). Identifikacija softvera i načini identifikacije softvera navode se u uverenju o odobrenju tipa etilometra.
Identifikacija softvera neraskidivo je povezana sa samim softverom i prikazana, ili odštampana putem komandi ili na displeju tokom postupka pokretanja ili uključivanja etilometra.
2.4.2. Zaštita od zloupotrebe
Softver se zaštićuje od neovlašćenih izmena, učitavanja ili promena zamenjivanjem memorijskog uređaja. Zaštita softvera sastoji se od žigosanja, mehaničkom, elektronskom ili šifrovanom zaštitom, ili na drugi način kojim se onemogućavaju neovlašćene izmene ili o njima ostaje trag.
Preko korisničkog interfejsa aktiviraju se samo jasno dokumentovane funkcije, tako da se ne olakšava zloupotreba.
Za potrebe postupka odobrenja tipa, proizvođač etilometra navodi i dokumentuje sve programske funkcije koje mogu biti aktivirane preko korisničkog interfejsa. Ne postoje skrivene funkcije. Proizvođač potvrđuje kompletnost dokumentacije ovih funkcija.
Parametri koji određuju zakonski relevantne karakteristike etilometara zaštićuju se od neovlašćene izmene. Za potrebe overavanja, etilometar ima mogućnost prikazivanja ili štampanja važećih podešavanja parametara.
2.5. Trajni zapis rezultata merenja
2.5.1. Uređaj za štampanje
Etilometri mogu biti opremljeni uređajem za štampanje.
Štampani podaci sadrže naročito:
- rezultat merenja i merne jedinice;
- brojne vrednosti rezultata merenja, kada se štampa na prethodno odštampanim obrascima;
- vreme i datum izvršenog merenja.
Kada je oznaka merne jedinice prethodno odštampana na obrascu, definiše se poseban papir za dati štampač.
Najmanja visina odštampanih karaktera je 2 mm.
Najmanji podeljak skale koji se štampa je 0,01 mg/l u režimu merenja, a 0,001 mg/l u režimu održavanja.
Odštampani rezultat merenja se ne razlikuje od rezultata prikazanog na pokaznom uređaju etilometra.
Štampač je opremljen kontrolnim uređajem koji omogućava proveru njegove funkcionalnosti, i upozorava na eventualne nedostatke, sprečavajući prikazivanje rezultata merenja. Provera funkcionalnosti štampača obuhvata naročito:
- prisustvo papira i tonera (ukoliko je primenljivo);
- elektronska kontrolna kola (izuzev samih kola za pokretanje štampača).
2.5.2. Čuvanje podataka
Uskladištene merene vrednosti praćene su ostalim podacima neophodnim za dalju zakonsku kontrolu.
Podaci su softverski zaštićeni tako da garantuju autentičnost, integritet i ako je potrebno tačnost informacija vezanih za vreme izvršenog merenja.
Softver proverava vreme merenja, autentičnost i kompletnost podataka. Ukoliko se detektuje neregularnost, podaci se odbacuju ili označavaju kao neupotrebljivi.
Šifre za zaštitu podataka su tajne i obezbeđene u samom etilometru. Ove šifre se mogu učitati ili očitati jedino kada je žig uništen.
2.5.3. Automatsko skladištenje podataka
Nakon završetka merenja, dobijeni podaci se automatski skladište. Kada je konačna vrednost dobijena proračunom, svi podaci neophodni za proračun su uskladišteni zajedno sa konačnim rezultatom.
Uređaj za skladištenje podataka ima održivost koja je dovoljna da skladišteni podaci ne mogu biti oštećeni pod normalnim uslovima skladištenja. Uređaj ima dovoljno memorijskog prostora za bilo koju moguću primenu.
Uskladišteni podaci mogu biti uklonjeni kada više nisu potrebni, odnosno kada je memorija puna, pod sledećim uslovima:
- podaci se brišu po istom redosledu kako su uneti uz poštovanje pravila definisanih za datu primenu;
- brisanje se vrši automatski ili ručno uz specifična prava pristupa.
2.6. Uređaj za signalizaciju
Ručni i prenosivi etilometri imaju uređaj za signalizaciju sa zvučnim ili svetlosnim signalima. Ovaj uređaj:
- označava spremnost etilometra da primi novi uzorak, odnosno da počne novi ciklus merenja;
- kontroliše uzimanje uzorka (kontinuitet i jačinu izdisanja ispitanika tokom uzorkovanja);
- upozorava kada se prekorači gornja granica mernog opsega.
2.7. Kućište
Delovi etilometra izrađeni su od materijala koji obezbeđuje njihovu postojanost pod nazivnim uslovima upotrebe etilometra. Kućište etilometra izrađeno je tako da njegovi delovi budu zaštićeni od spoljašnjih udara, prašine i vlage.
UTVRĐIVANJE ISPUNJENOSTI ZAHTEVA
1. Praktična uputstva
U cilju minimiziranja greške merenja, proizvođač etilometra ili podnosilac zahteva za ispitivanje tipa pre početka ispitivanja može podesiti uzorak koji se podnosi za ispitivanje tipa merila. Nakon početka ispitivanja tipa etilometra pa do završetka ispitivanja, ne vrše se podešavanja merila.
2. Metrološka kontrola
2.1. Uzorci etilometra podneti za ispitivanja tipa
Proizvođač, za potrebe ispitivanja tipa, obezbeđuje najmanje jedan etilometar sa uputstvom za upotrebu i pratećom opremom propisanom u članu 7. ovog pravilnika.
2.2. Tehnička dokumentacija
Tehnička dokumentacija koja se dostavlja za potrebe ispitivanja tipa etilometra sadrži naročito:
1) opis opšteg principa merenja etilometra;
2) listu najvažnijih sastavnih delova etilometra, naročito elektronskih i drugih bitnih komponenata, sa njihovim najznačajnijim karakteristikama;
3) tehničke crteže etilometra;
4) električne, odnosno elektronske šeme etilometra;
5) zahteve za instalaciju etilometra;
6) plan obezbeđenja metroloških parametara etilometra koje se postiže žigosanjem;
7) izgled pokaznog uređaja;
8) način prikaza rezultata ispitivanja uticaja smetnji, upotreba tih rezultata i njihov odnos prema parametrima koji se mere;
9) opšte informacije o softveru;
10) podatke i druge informacije koje ukazuju da performanse etilometra ispunjavaju zahteve ovog pravilnika.
Prilikom ispitivanja tipa etilometra uputstvo za upotrebu etilometra se pregleda u pogledu njegove potpunosti i jasnoće opisa postupka merenja.
Ukoliko je etilometar opremljen uređajem za štampanje, proizvođač navodi informacije o kvalitetu papira koji se koristi za štampanje prema zahtevima datim u tački 2.5.1. Priloga 1 ovog pravilnika.
3. Pregled i ispitivanja
Pod pregledom i ispitivanjem etilometara podrazumevaju se vizuelni pregled i ispitivanja metroloških karakteristika.
3.1. Vizuelni pregled
Prilikom ispitivanja tipa, etilometar se vizuelno pregleda prema specifikacijama proizvođača kako bi se utvrdilo da su ispunjeni zahtevi iz odeljka 2. Priloga 1 ovog pravilnika. Ovom prilikom pregleda se i prateća dokumentacija, u odnosu na:
1) merne jedinice i broj prikazanih decimalnih mesta;
2) merni opseg;
3) vrednost najmanjeg podeljka;
4) način prikazivanja rezultata merenja;
5) uređaje za podešavanje;
6) zaštitu od zloupotrebe;
7) uređaje za proveru;
8) zaštitu od spoljašnjih uticaja;
9) softver;
10) štampač (koliko je primenljivo);
11) čuvanje rezultata merenja;
12) prenos podataka;
13) natpise i oznake;
14) uputstva za upotrebu;
15) žigosanje;
16) pogodnost za ispitivanje.
3.2. Procedure ispitivanja metroloških karakteristika
Ovim prilogom je određen program ispitivanja performansi namenjen da obezbedi da etilometri funkcionišu na predviđeni način u definisanom okruženju i pod određenim uslovima. Svako ispitivanje prikazuje, gde je to pogodno, referentne uslove pod kojima se određuje sopstvena greška.
Kada se procenjuje efekat jedne uticajne veličine ili smetnje, sve ostale uticajne veličine i smetnje održavaju se relativno konstantnim, na vrednostima bliskim referentnim uslovima.
Tokom ispitivanja etilometar je stabilno podešen u skladu sa specifikacijama proizvođača. Ukoliko proizvođač nije preporučio vreme zagrevanja, pretpostavlja se da su rezultati tačni odmah nakon uključenja uređaja.
Pri ispitivanju pokazivač etilometra se, ukoliko je to moguće, podešava na rezoluciju od 0,001 mg/l.
Pri ispitivanju tipa etilometara koriste se referentni materijali - ispitni vlažni gas (vazduh) sa tačno određenom masenom koncentracijom alkohola u skladu sa zahtevima podtačke 3.2.1.2. ovog priloga.
3.2.1. Referentni uslovi
Referentni uslovi za etilometre su:
a) Temperatura okoline (Tref): |
23 °C ± 5 °C |
b) Relativna vlažnost (RHref): |
50% ± 30% |
v) Atmosferski pritisak: pritisak ambijenta u okviru navedenih radnih uslova.
Tokom svakog ispitivanja pri referentnim uslovima, temperatura, relativna vlažnost vazduha i atmosferski pritisak ne variraju za više od 5 °C, 10% i 20 hPa u navedenim granicama opsega. Napon i frekvencija napajanja, ukoliko je primenljivo, održavaju se na nazivnim vrednostima.
3.2.1.1. Aparatura koji isporučuje ispitni vlažni gas
Aparatura koja se koristi za proizvodnju i isporučivanje ispitnog uzorka vlažnog gasa (vazduha) mora isporučivati ciljnu vrednost masene koncentracije sa mernom nesigurnošću (izraženom sa nivoom poverenja od približno 95% izračunatom sa k = 2) manjom ili jednakom jednoj trećini NDG.
Zbog optimalnog iskorišćenja kako referentnih rastvora tako i iskorišćenja aparature, ispitivanja se sprovode sa najvećom učestanošću koju dozvoljava etilometar.
3.2.1.2. Referentne vrednosti karakteristika ispitnog vlažnog gasa
Ispitni vlažni gas koji se kontinualno uvodi u etilometar je okarakterisan sledećim vrednostima parametara:
a) isporučena zapremina: 2 l ± 0,3 l;
b) ukupno vreme uvođenja uzorka u etilometar: 5 s ± 0,5 s;
v) vrsta profila unošenja: konstantan protok;
g) relativna vlažnost gasa: 95% ± 5% (bez kondenzacije);
d) temperatura gasa: 34 °C ± 0,5 °C;
đ) noseći gas: vazduh.
3.3. Greške pod nazivnim uslovima upotrebe
Tip etilometra ispunjava zahteve navedene u Prilogu 1 ovog pravilnika ukoliko prođe ispitivanja potvrđujući da greška etilometra ne prelazi NDG prvog overavanja definisanu u pododeljku 1.3. Priloga 1 ovog pravilnika, pod referentnim uslovima datim u tački 3.2.1. ovog priloga.
Uslovi koji se moraju ostvariti tokom ispitivanja su konstantno električno napajanje u periodu dužem od vremena zagrevanja etilometra nakon uključivanja, i održavanje etilometra uključenog tokom ispitivanja.
Za vreme ispitivanja uzorak etilometra za ispitivanje tipa se ne podešava.
Informacije koje se zapisuju za vreme vršenja ispitivanja su:
1) datum i vreme;
2) temperatura;
3) relativna vlažnost vazduha;
4) vrednosti merene veličine;
5) pokazivanje merila;
6) greške.
3.3.1. Ispitivanje tačnosti i ponovljivosti
3.3.1.1. Ispitivanje tačnosti
Saglasnost sa zahtevima iz Priloga 1 ovog pravilnika za NDG utvrđuje se najmanje u nazivnim vrednostima prilikom ispitivanja tipa, koje su navedene u Tabeli 1 ovog priloga.
Tabela 1
Broj ispitnog gasa |
Masena koncentracija (mg/L) |
1 |
0,00 |
2 |
0,10 |
3 |
0,25 |
4 |
0,40 |
5 |
0,70 |
6 |
0,95 |
7 |
1,50 |
8 |
1,95 |
9 |
Ukoliko je gornja granica opsega koju navodi proizvođač veća od 2 mg/l, masena koncentracija ispitnog vlažnog gasa je jednaka 90% vrednosti gornje granice opsega |
Prilikom overavanja merila koriste se ispitni gasovi čije su masene koncentracije propisane u članu 12. stav 4. ovog pravilnika.
Vrši se najmanje 15 ponovljenih merenja sa svakom masenom koncentracijom ispitnog vlažnog gasa. Za svaku masenu koncentraciju ispitnog gasa, svaki od 15 rezultata merenja mora imati manju vrednost od NDG definisane u pododeljku 1.3. Priloga 1 ovog pravilnika.
3.3.1.2. Ispitivanje ponovljivosti
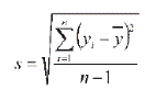
Ispitivanje ponovljivosti vrši se najmanje sa 15 ponovljenih merenja sa svakom masenom koncentracijom ispitnog vlažnog gasa. Ponovljivost rezultata koje etilometar prikazuje izražava se kao eksperimentalna standardna devijacija za dati broj rezultata merenja.
Eksperimentalna standardna devijacija računa se prema formuli:

gde je:
n - broj ponovljenih merenja za datu masenu koncentraciju,
y1 - i - to merenje (od ukupno n merenja) za datu masenu koncentraciju,
`y - aritmetička sredina vrednosti n merenja,
3.3.2 Pomak (drift)
Saglasnost sa zahtevima ispituje se uz pomoć sledećih masenih koncentracija ispitnih gasova:
- pomak nule: ispitni gas broj 1;
- pomak pri 0,4 mg/l: ispitni gas broj 4.
Postupak ispitivanja pomaka etilometra obuhvata vršenje 10 uzastopnih merenja i nakon perioda vremena definisanog u pododeljku 1.5. Priloga 1 ovog pravilnika vršenje dodatnih 10 uzastopnih merenja.
Za svako ispitivanje pomaka, razlika između srednjih vrednosti dve serije merenja ispunjava zahteve navedene u pododeljku 1.5. Priloga 1 ovog pravilnika.
Za vreme vršenja ispitivanja pomaka etilometra mogu se vršiti i druga ispitivanja merila.
3.3.3 Efekat pamćenja
- Efekat pamćenja pri velikim razlikama u masenoj koncentraciji
Etilometar se podvrgava početnom ispitivanju koje podrazumeva 10 merenja uz korišćenje ispitnog gasa broj 2 i izračunava se srednja vrednost rezultata. Nakon toga etilometar se podvrgava 10 puta sledećem ciklusu merenja:
- Jedno merenje uz korišćenje ispitnih gasova br. 7 i 8;
- Jedno merenje uz korišćenje ispitnog gasa broj 2.
Svaki pojedinačni rezultata je manji od vrednosti NDG definisanoj u pododeljku 1.3. Priloga 1 ovog pravilnika.
Izračunava se srednja vrednost 10 merenja ispitnim gasom broj 2 za vreme ciklusa.
Za ispitni gas broj 2 razlika između dve izračunate srednje vrednost rezultata je manja od granice definisane u pododeljku 1.6. Priloga 1 ovog pravilnika.
Ukoliko je gornja granica mernog opsega etilometra veća od 2 mg/l, umesto gasa broj 7 koristi se gas broj 8.
- Efekat pamćenja pri malim razlikama u masenoj koncentraciji
Etilometar se podvrgava početnom ispitivanju koje podrazumeva deset merenja uz korišćenje ispitnog gasa broj 3 i izračunava se srednja vrednost rezultata. Nakon toga etilometar se 10 puta podvrgava sledećem ciklusu merenja:
- Jedno merenje uz korišćenje ispitnog gasa broj 4;
- Jedno merenje uz korišćenje ispitnog gasa broj 3.
Svaki pojedinačni rezultata je manji od vrednosti NDG definisanoj u pododeljku 1.3 Priloga 1 ovog pravilnika.
Izračunava se srednja vrednost deset merenja ispitnim gasom broj 3. za vreme ciklusa.
Za ispitni gas broj 3. razlika između dve izračunate srednje vrednosti rezultata je manja od granice definisane u pododeljku 1.6. Priloga 1 ovog pravilnika.
3.3.4. Uticajne veličine od uslova unošenja uzorka (injektiranja)
Za svako ispitivanje vrši se deset merenja uz korišćenje ispitnog gasa broj 4. Svako od ovih 10 merenja ima rezultat koji ispunjava uslove date u u pododeljku 1.3 Priloga 1 ovog pravilnika.
Svako ispitivanje karakterišu tri parametra:
- isporučena zapremina;
- trajanje injektiranja;
- varijacije pritiska u funkciji vremena;
a) Uticaj isporučene zapremine i trajanja izdaha
Prvo ispitivanje:
- Isporučena zapremina: 1,5 l ± 0,1 l;
- Trajanje injektiranja: 5 s ± 0,5 s;
- Varijacije pritiska u funkciji vremena: bez varijacija.
Drugo ispitivanje:
- Isporučena zapremina: 4,5 l ± 0,3 l;
- Trajanje injektiranja: 15 s ± 0,5 s;
- Varijacije pritiska u funkciji vremena: bez varijacija.
b) Uticaj protoka gasa i trajanja injektiranja
Prvo ispitivanje:
- Isporučena zapremina: 1,5 l ± 0,1 l;
- Trajanje injektiranja: 10 s ± 0,5 s;
- Varijacije pritiska u funkciji vremena: bez varijacija.
Drugo ispitivanje:
- Isporučena zapremina: 3 l ± 0,2 l;
- Trajanje injektiranja: 15 s ± 0,5 s;
- Varijacije pritiska u funkciji vremena: bez varijacija.
Treće ispitivanje:
- Isporučena zapremina: 4,5 l ± 0,3 l;
- Trajanje injektiranja: 7,5 s ± 0,5 s;
- Varijacije pritiska u funkciji vremena: bez varijacija.
v) Uticaj promene protoka tokom izdisanja
Prvo ispitivanje:
- Isporučena zapremina: 3 l ± 0,2 l;
- Protok gasa: 0,6 l/s;
- Varijacije protoka gasa u funkciji vremena: bez varijacija.
Drugo ispitivanje:
- Isporučena zapremina: 3 l ± 0,2 l;
- Varijacije protoka gasa u funkciji vremena: početni protok je 0,6 l/s u vremenu od 1,5 s, zatim u vremenu od 1,5 s do 5 s opada do vrednosti od 0,2 l/s i nakon 5 s ostaje konstantan na vrednosti od 0,2 l/s do završetka injektiranja;
g) Uticaj prekida u protoku izdaha;
Prvo ispitivanje:
- Injektovanje gasa koje je pod referentnim uslovima datim u podtački 3.2.1.2 se zaustavlja 1 s ± 0,5 s nakon početka injektovanja. Protok je 0,4 l/s.
Drugo ispitivanje:
- Injektovanje gasa koje je u trajanju od najmanje 15 l/s mora biti zaustavljeno na 6 s ± 1 s nakon početka injektovanja. Protok je 0,2 l/s.
Treće ispitivanje
- Verifikacija završetka detekcije izdaha. Injektovanje gasa se sa protoka od 0,15 l/s smanji na 0,03 l/s.
Četvrto ispitivanje
- Kratkotrajni prekid protoka. Injektovanje pri uslovima protoka definisanim u podtački 3.2.1.2 ovog priloga se zaustavlja na kratak period (na pr. 0,5 s) a zatim se nastavi.
Za ova četiri ispitivanja etilometar ne sme da prikaže nikakvu izmerenu vrednost.
3.3.5. Toplota (suvo zagrevanje)
Ova metoda ispitivanja primenjuje se u cilju ocene usaglašenosti sa zahtevom datim u pododeljku 1.7 a) Priloga 1 ovog pravilnika, pod uslovima visoke temperature okoline.
Ispitivanje se sprovodi u skladu sa SRPS EN 60068-2-2:2008 i SRPS EN 60068-3-1:2012.
Pored informacija navedenih u referentnim standardima, sprovodi se i skraćeni postupak ispitivanja:
Preduslovi |
Obezbeđeno i uključeno napajanje uređaja za period vremena jednak ili veći periodu zagrevanja definisanom od strane proizvođača |
Status ispitivanog uzorka |
Uređaj mora biti uključen za vreme ispitivanja |
Stabilizacija |
Dva sata na svakoj temperaturi u uslovima vazduha ambijenta |
Temperatura |
Visoka vrednost temperature definisana u pododeljku 1.7 a) Priloga 1 ovog pravilnika. |
Temperaturna sekvenca |
Referentna temperatura, |
Postupak ispitivanja |
Etilometar koji je predmet ispitivanja ne sme biti naknadno podešavan tokom ispitivanja. |
Najveće dozvoljene promene |
Sve funkcije se moraju izvršavati kako je predviđeno. Sve greške moraju biti unutar granica NDG definisanih u pododeljku 1.3 Priloga 1 ovog pravilnika |
3.3.6. Hladnoća
Ova metoda ispitivanja se primenjuje u cilju ocene usaglašenosti sa zahtevom datim u pododeljku 1.7 a) Priloga 1 ovog pravilnika pod uslovima hladnoće (niske temperature okoline).
Ispitivanje se sprovodi u skladu sa SRPS EN 60068-2-2:2008 i SRPS EN 60068-3-1:2012.
Pored informacija navedenih u referentnim standardima, sprovodi se i skraćeni postupak ispitivanja:
Preduslovi |
Obezbeđeno i uključeno napajanje uređaja za period vremena jednak ili veći periodu zagrevanja definisanom od strane proizvođača |
Status ispitivanog uzorka |
Uređaj mora biti uključen za vreme ispitivanja |
Stabilizacija |
Dva sata na svakoj temperaturi u uslovima vazduha ambijenta |
Temperatura |
Niska temperatura definisana u pododeljku 1.7 a) Priloga 1 ovog pravilnika |
Temperaturna sekvenca |
Referentna temperatura, |
Postupak ispitivanja |
Etilometar koji je predmet ispitivanja ne sme biti naknadno podešavan tokom ispitivanja. |
Najveće dozvoljene promene |
Sve funkcije se moraju izvršavati kako je predviđeno. Sve greške su unutar granica NDG definisanih u pododeljku 1.3 Priloga 1 ovog pravilnika |
3.3.7. Vlažna toplota, ravnotežno stanje (nekondenzujuće)
Ovo ispitivanje se primenjuje u cilju ocene usaglašenosti sa zahtevom datim u pododeljku 1.7 b) Priloga 1 ovog pravilnika pod uslovima vlažne okoline, bez kondenzacije.
Ispitivanje se sprovodi u skladu sa SRPS EN 60068-2-78:2008.
Pored informacija navedenih u referentnim standardima, sprovodi se i skraćeni postupak ispitivanja:
Preduslovi |
Obezbeđeno i uključeno napajanje uređaja za period vremena jednak ili veći periodu zagrevanja definisanom od strane proizvođača |
Status ispitivanog uzorka |
Uređaj mora biti uključen za vreme ispitivanja. Sa ispitivanim uzorkom se mora rukovati tako da se na njemu ne pojavi nikakva kondenzovana voda |
Postupak ispitivanja |
Etilometar koji je predmet ispitivanja ne sme biti naknadno podešavan tokom ispitivanja. |
Najveće dozvoljene promene |
Greška etilometra se određuje jedanput dnevno pod uslovima ispitivanja i na kraju ispitivanja nakon perioda pauze od jednog sata. |
3.3.8. Nizak napon unutrašnje baterije
Ova metoda ispitivanja se primenjuje u cilju ocene usaglašenosti sa zahtevom datim u pododeljku 1.7 v) Priloga 1 ovog pravilnika kada je napajanje etilometra obezbeđeno pomoću unutrašnje baterije.
Postupak ispitivanja ukratko:
Preduslovi |
Obezbeđeno i uključeno napajanje uređaja za period vremena jednak ili veći periodu zagrevanja definisanim od strane proizvođača |
Status ispitivanog uzorka |
Uređaj mora biti uključen za vreme ispitivanja. |
Najniži nivo napona ispitivanja |
Najniži napon pri kome ispitivani etilometar radi ispravno definisan od strane proizvođača |
Postupak ispitivanja |
Ispitivanje se sastoji u izlaganju specifičnim uslovima baterije za period vremena dovoljan da se postigne temperaturna stabilnost i izvrše potrebna merenja. |
Najveće dozvoljene promene |
Sve funkcije se moraju izvršavati kako je predviđeno. Sve greške moraju biti unutar granica NDG definisanih u pododeljku 1.3. Priloga 1 ovog pravilnika |
Napomena |
Ukoliko se za ispitivanje koristi alternativni izvor napajanja za simulaciju baterije (standardni izvor napajanja sa dovoljnim strujnim kapacitetom), bitno je da se unutrašnja impedansa datog tipa baterije takođe simulira |









