PRAVILNIK O TEHNIČKIM NORMATIVIMA ZA ZAŠTITU INDUSTRIJSKIH OBJEKATA OD POŽARA("Sl. glasnik RS", br. 1/2018 i 81/2023) |
Ovim pravilnikom bliže se uređuju posebni tehnički normativi bezbednosti od požara za izgradnju, dogradnju i rekonstrukciju industrijskih objekata.
Pored odredbi ovog pravilnika, na objekte iz stava 1. ovog člana, primenjuju se i drugi propisi i standardi kojima su propisani zahtevi zaštite od požara za objekte, delove objekta, opremu, instalacije i uređaje.
Pod industrijskim objektom, u smislu ovog pravilnika, podrazumeva se objekat ili delovi objekta koji se koriste za proizvodnju (izradu, obradu, oplemenjivanje, pripremu tehnologije proizvodnje, kontrolu, pakovanje, distribuciju, preradu i sl.), a koji u svom sastavu može imati prostorije za skladištenje sirovina, poluproizvoda, proizvoda, alata i pomoćnih materijala (priručno skladište, skladište), sporedne prostorije i slične delove objekta koji su u funkciji proizvodnje.
Industrijskim objektom iz stava 1. ovog člana smatra se i objekat u kojem se obavljaju remontni radovi.
Ako se vrši rekonstrukcija ili dogradnja dela objekta iz člana 2. ovog pravilnika, i/ili instalacija, opreme i uređaja na tim objektima, odredbe ovog pravilnika primenjuju se samo na deo objekta i/ili na instalacije, opremu i uređaje koji su predmet rekonstrukcije ili dogradnje.
Rekonstrukcijom ili dogradnjom iz stava 1. ovog člana ne sme se umanjiti požarna bezbednost postojećeg objekta.
Odredbe ovog pravilnika ne odnose se na industrijske objekte koji su otvoreni (kao npr. natkrivena spoljna postrojenja i sl.), delove industrijskih objekata koji služe uglavnom za administraciju i sl. i odvojeni su u poseban požarni segment (npr. čeoni objekti), kao i na industrijske objekte i postrojenja uređene posebnim propisima.
Pojedini izrazi i pojmovi koji se koriste u ovom pravilniku imaju sledeće značenje:
1) sporedne prostorije (kancelarije, laboratorije za ispitivanja, prostorija za razvoj, kuhinje, restorani, garderobe, sanitarne prostorije i dr.) su pripadajuće poslovne prostorije koje su povezane sa proizvodnim i skladišnim prostorom, ili su odvojene graničnim građevinskim konstrukcijama otpornim prema požaru;
2) priručno skladište je prostorija u kojoj se, za potrebe tehnološkog procesa proizvodnje, čuvaju sirovine, poluproizvodi i proizvodi, ali ne duže od jednog dana;
3) vatrogasna jedinica subjekta zaštite od požara je vatrogasna jedinica koju je subjekt formirao u skladu sa odredbama propisa kojima je uređena oblast organizovanja zaštite od požara prema kategoriji ugroženosti od požara, a koja u svako doba za manje od 5 min od trenutka alarmiranja mora stići do mesta intervencija. Broj vatrogasaca mora biti ravnomerno raspoređen po smenama;
4) požarni sektor (PS) je deo objekta, odvojen od drugih delova objekta horizontalnim i vertikalnim pregradama otpornim prema požaru, sa jednom ili više etaža, koji se može samostalno tretirati u pogledu nekih tehnoloških i organizacionih mera bezbednosti od požara.
III PRISTUP ZA VATROGASNA VOZILA
Svakom industrijskom objektu mora se obezbediti pristupni put izgrađen u skladu sa propisom kojim je uređena ova oblast.
Pristupni put iz stava 1. ovog člana mora biti uvek slobodan i na njemu nije dozvoljeno parkiranje i zaustavljanje drugih vozila, niti postavljanje bilo kojih drugih prepreka koje ometaju vatrogasnu intervenciju.
Slobodnostojećim industrijskim objektima površine veće od 5.000 m2 i industrijskim objektima u nizu čija je ukupna površina osnove poda veća od 5.000 m2, mora se obezbediti pristupni put sa svih strana objekta (kružni put).
IV GRAĐEVINSKE MERE ZA SPREČAVANJE PRENOSA POŽARA
Industrijski objekti moraju biti izvedeni tako da se spreči prenos požara na susedne objekte na način da su u odnosu na susedne objekte i granicu parcele udaljeni najmanje 5 m.
Izuzetno od stava 1. ovog člana udaljenost se može smanjiti ukoliko je spoljni zid bez otvora i izrađen od negorivih građevinskih proizvoda otpornosti prema požaru dobijene proračunom, ali ne manje od 60 min.
Ukoliko se u prostoriji objekata iz stava 1. ovog člana skladište zapaljive i gorive tečnosti i zapaljivi gasovi udaljenost u odnosu na susedne objekte i granicu parcele određuje se u skladu sa posebnim propisima kojima je uređena ova oblast.
Gorivi materijal (palete, ambalaža, otpad i sl.) ne sme se smeštati na udaljenosti manjoj od 6 m od zida objekta.
Izuzetno od stava 1. ovog člana gorivi materijal se može smeštati i uz sam zid objekta bez otvora izrađenog od negorivih materijala.
Industrijski objekti se mogu izvoditi kao prizemni i višeetažni objekti, sa ili bez podzemnih etaža.
Dvoetažni industrijski objekti koji imaju raspoređene prilaze za vatrogasce za obe nadzemne etaže i čiji elementi konstrukcije ispunjavaju zahteve otpornosti prema požaru 90 min i izrađeni su od negorivih građevinskih materijala, mogu se posmatrati kao prizemni industrijski objekti.
Požarni sektor u prostorijama koje se potpuno ili delimično nalaze ispod nivoa terena (kota poda 1 m ispod nivoa terena) ne sme iznositi više od 1.000 m2 na nivou suterena, a na svakoj nižoj etaži 500 m2 i mora biti izdvojen zidom i drugim konstrukcijama koje su otporne prema požaru 90 min izvedene od negorivih građevinskih materijala.
Izuzetno od stava 3. ovog člana površine se mogu uvećati u slučaju kada je ovim prostorijama omogućen prilaz vatrogascima sa spoljne strane.
Izuzetno od stava 3. ovog člana površine požarnih sektora mogu se uvećati maksimalno tri puta ukoliko su na ovim etažama predviđeni stabilni sistemi za gašenje požara.
Otpornost prema požaru konstruktivnih elemenata industrijskog objekta određuje se računskim putem.
Zidovi otporni prema požaru koji razdvajaju požarne sektore izdižu se najmanje 0,5 m iznad krovnog pokrivača.
Izuzetno od stava 2. ovog člana mogu se primeniti i druga tehnička rešenja koja će pouzdano sprečiti širenje požara preko krova.
Sprečavanje prenosa požara na granici požarnih sektora u zoni spoljnog zida ostvaruje se horizontalnim prekidnim rastojanjem ne manjim od 1 m ili izvođenjem rebra dužine 0,5 m (mereno od fasade), čija je otpornost prema požaru najmanje jednaka otpornosti prema požaru zida iz stava 2. ovog člana.
Sprečavanje prenosa požara na granici požarnih sektora u zoni spoljnog zida ostvaruje se vertikalnim prekidnim rastojanjem ne manjim od 1 m, čija je otpornost prema požaru najmanje jednaka otpornosti prema požaru zida iz stava 2. ovog člana.
Industrijski objekti čija je površina osnove veća od 1.600 m2 koji u svom sastavu imaju više od dve etaže moraju imati najmanje dva stepeništa za evakuaciju, od kojih jedno stepenište može biti spoljno evakuaciono.
Evakuacija lica iz podrumskih i suterenskih nivoa mora biti omogućena, na način da se ista može bezbedno izvršiti preko stepeništa na dve različite strane, koja imaju izlaze direktno u otvoren prostor ili u drugi požarni sektor.
Stepeništa na putevima evakuacije moraju biti od negorivih materijala.
U evakuacione puteve u industrijskim objektima spadaju pre svega glavni prolazi u proizvodnim prostorima i skladištima, izlazi iz ovih prostorija, koridori evakuacije, evakuaciona stepeništa i izlazi koji vode u spoljni prostor.
Ukoliko postoji više evakuacionih puteva, jedan od ovih puteva može voditi u drugi požarni sektor koji mora da ima izlaze direktno napolje ili ka evakuacionom stepeništu sa bezbednim izlazom napolje.
Sa svakog mesta nekog proizvodnog ili skladišnog prostora treba da bude dostupan jedan glavni prolaz širine najmanje 0,8 m.
Licima koja se evakuišu, sa svakog mesta u proizvodnom prostoru, mora biti dostupan najmanje jedan izlaz tako da rastojanje između polazne tačke i izlaza iznosi najviše:
1) 35 m ako je prosečna unutrašnja visina prostorije do 5 m;
2) 50 m ako je prosečna unutrašnja visina prostorije veća od 10 m.
Ukoliko je požarni sektor iz koga se vrši evakuacija opremljen stabilnim sistemom za dojavu požara ili stabilnim sistemom za gašenje požara, tada rastojanje između polazne tačke i izlaza iznosi najviše:
1) 50 m ako je prosečna unutrašnja visina prostorije do 5 m;
2) 70 m ako je prosečna unutrašnja visina prostorije veća od 10 m.
Ako je prosečna unutrašnja visina između 5 m i 10 m vrednosti se mogu dobiti interpolacijom.
Izuzetno od st. 1. i 2. ovog člana, ukoliko se prostor iz koga se vrši evakuacija nalazi u prizemlju industrijskog objekta, a opremljen je stabilnim sistemom za dojavu požara, tada rastojanje između polazne tačke i izlaza iznosi najviše 120 m, ako je prosečna unutrašnja visina prostorije veća od 7 m.
Vrata na putu za evakuaciju moraju biti zaokretna, tako da se otvaraju u smeru evakuacije, ne smeju imati prag i moraju biti odgovarajuće širine kojom se obezbeđuje sigurna evakuacija lica.
Izuzetno od stava 1. ovog člana može se dozvoliti i drugo tehničko rešenje vrata u zavisnosti od potreba tehnologije, pod uslovom da isto obezbeđuje sigurnu evakuaciju lica, ili se pored njih mora predvideti ugradnja zaokretnih vrata iz stava 1. ovog člana.
Ako se na krajnjem izlazu iz proizvodnog ili skladišnog prostora predviđaju vrata iz stava 2. ovog člana, ista se moraju otvoriti na signal sistema za dojavu požara i posedovati mehanizam za elektro i mehaničku deblokadu vrata, ili se pored njih mora predvideti ugradnja zaokretnih vrata iz stava 1. ovog člana.
VI TEHNOLOŠKE MERE BEZBEDNOSTI
Tehnološke mere bezbednosti koje proističu iz zahteva tehnološkog procesa, a značajne su u postupku utvrđivanja zahteva zaštite od požara za konstrukciju, materijale, instalacije i opremanje zaštitnim sistemima i uređajima i sl., čine obaveznu sadržinu tehničke dokumentacije za izgradnju i eksploataciju objekta. Obavezno se definišu: fizičko-hemijske karakteristike i količina materija koje se koriste u tehnološkom procesu, oznake opasnosti, način postupanja sa ovim materijama, način skladištenja, korišćenja i transporta ovih materija, vrsta tehnološkog procesa, procena opasnosti od požara koja potiče od tehnološkog procesa i materija koje se u njima koriste ili skladište, analiza bitnih parametara procesa, zahtevi za ugradnjom opreme, instalacija i uređaja radi praćenja parametara procesa i utvrđivanje njihove zaštitne funkcije i sl.
U industrijskim objektima u kojima se odvijaju tehnološki procesi u kojima se koriste, skladište, drže ili proizvode zapaljive i gorive tečnosti i zapaljivi gasovi u količini i na način da formiraju zapaljivu ili eksplozivnu atmosferu moraju se predvideti posebni uslovi utvrđeni zakonom i posebnim propisima kojima je uređena ova oblast, na način primeren tehnološkom procesu.
Sirovine, poluproizvodi, proizvodi i pomoćni materijali odlažu se u posebnim prostorijama (priručnim skladištima) prema tehnološkom projektu kojim se definiše kapacitet, visina slaganja, način i vreme skladištenja, kao i u skladištima koja moraju ispunjavati uslove utvrđene posebnim propisom kojim je uređena ova oblast.
Izuzetno od stava 1. ovog člana, sirovine, polugotovi i gotovi proizvodi na kojima je završena predviđena faza tehnološkog procesa se mogu odložiti na posebno određenoj površini u prostoru namenjenom za proizvodnju, u trajanju i na način utvrđen tehnološkim projektom, dok se ne prenesu na mesto za sledeću fazu proizvodnje ili na mesto predviđeno za odlaganje gotovih proizvoda.
Na podovima se moraju označiti saobraćajnice i tehnološka područja (površine za odlaganje proizvoda, područja oko mašina i radnih mesta, linija montaže i sl.).
U prostorijama ili delovima velikih prostorija u kojima je očekivano prisustvo materija koje mogu da stvaraju eksplozivnu smešu podovi se izvode kao elektroprovodljivi i izrađeni od materijala koji ne varniče pri udaru.
Punjenje sekundarnih baterija i baterijskih postrojenja (stacionarne baterije) mora se vršiti u posebnoj prostoriji industrijskog objekta, pri čemu se moraju ispuniti zahtevi utvrđeni standardom SRPS EN 50272-2.
Punjenje sekundarnih baterija i baterijskih postrojenja (baterije za vuču) koja se koriste za električna industrijska vozila može se vršiti i u prostoru industrijskog objekta, pri čemu se moraju ispuniti zahtevi utvrđeni standardom SRPS EN 62485-3.
VII SISTEMI VENTILACIJE I GREJANJA
Prostorija za smeštaj kotlova i generatora toplote u objektu (kotlovi na čvrsto i tečno gorivo, gasni kotlovi i sl.) mora ispunjavati sledeće uslove:
1) zidovi i međuspratna konstrukcija prostorije otporni prema požaru 60 min moraju biti izvedeni od negorivih građevinskih materijala;
2) vrata na ulazu u prostoriju postavljaju se sa spoljne strane objekta, a u slučaju kada se u prostoriju ulazi iz objekta vrata moraju biti otporna prema požaru 60 min;
3) skladišni prostor za gorivo (čvrsto, tečno ili gasovito) mora se nalaziti van objekta ili u bezbednom prostoru objekta.
Skladišni prostor za gorivo (čvrsto, tečno ili gasovito) mora se nalaziti van objekta ili u prostoriji čiji su zidovi, međuspratna konstrukcija i vrata otporni prema požaru 90 min i izvedeni od negorivih građevinskih materijala.
Izuzetno od stava 2. ovog člana u slučaju kada se čvrsto gorivo doprema transporterom iz skladišnog prostora do kotla, ove prostorije se mogu posmatrati kao jedinstven prostor čiji su zidovi, međuspratna konstrukcija i vrata otporni prema požaru 90 min i izvedeni od negorivih građevinskih materijala.
Izuzetno od stava 1. ovog člana kotlovi i generatori toplote snage do 50 kW mogu se nalaziti i u proizvodnim i skladišnim prostorima.
Kada se u objektu predviđa izgradnja prostorije za smeštaj kotlova i generatora toplote, kao i prostorije za skladištenje goriva za koje su tehnički zahtevi utvrđeni posebnim propisima, tada se primenjuju odredbe posebnih propisa kojima je uređena ova oblast.
Kada se za potrebe kotlova, generatora toplote i tehnološkog procesa kao gorivo koristi komprimovani prirodni gas (KPG), elementi postrojenja koje ga čine moraju ispunjavati sledeća bezbednosna rastojanja:
|
IZVORI OPASNOSTI |
|
Boce za skladištenje |
Odušci |
|
BEZBEDNOSNA RASTOJANJA |
||
Objekti |
> 5 |
> 5 |
Javni putevi |
> 5 |
> 5 |
Granica (ograda) postrojenja |
> 2 |
> 5 |
Regulaciona stanica |
> 2 |
> 5 |
Interni putevi i pešačke staze |
> 3 |
> 5 |
Skladišta ostalih tipova goriva |
> 5 |
> 5 |
Prilaz za servis |
> 2 |
- |
Zapaljive materije |
> 4 |
> 4 |
Elementi postrojenja za komprimovani prirodni gas (KPG) se smeštaju na betonskom platou, u ogradi visine 2 m i moraju ispunjavati odredbe posebnih propisa kojima je uređena ova oblast.
Regulaciona stanica se postavlja u granicama postrojenja za komprimovani prirodni gas (KPG), na rastojanju većem od 5 m od objekata.
Na pojam zona opasnosti od eksplozije i izvora opasnosti, u smislu ovog pravilnika, primenjuju se odredbe srpskog standarda SRPS EN 60079-10-1.
Zone opasnosti od eksplozije koje se mogu stvoriti prilikom normalnog rada postrojenja za komprimovani prirodni gas (KPG) za pojedine elemente iznose:
IZVORI OPASNOSTI |
ZONE OPASNOSTI OD EKSPLOZIJA |
|
Zona 2 |
Zona 1 |
|
RASTOJANJA |
||
Spoj cevovoda sa bocama |
5 m u radijusu od priključka |
NEMA |
Krajevi odušnih cevovoda |
15 m vertikalno, oblik kupe sa uglom od 60° |
3 m u radijusu od krajeva odušnih cevovoda |
U proizvodnim prostorima u kojima se odvijaju tehnološki procesi za koje postoji poseban zahtev za odvođenje dima i toplote, moraju se predvideti sistemi za odvođenje dima i toplote u skladu sa posebnim propisom.
Ako se elektroenergetsko postrojenje visokog napona postavlja u industrijski objekat, delovi postrojenja podložni požaru moraju se smestiti u prostoriju koja je od ostalih prostorija odvojena pregradama otpornim prema požaru 90 min, kao i vratima otpornim prema požaru 30 min.
Izuzetno od stava 1. ovog člana, elektroenergetsko postrojenje sa uljnim transformatorima pojedinačnih nazivnih snaga do 1.600 kVA i elektroenergetsko postrojenje sa suvim transformatorima može da se postavi u posebnu prostoriju ili proizvodni prostor ali na način koji ne ugrožava bezbednost lica i pod uslovom da su primenjene efikasne mere za zaštitu od pojave i širenja požara.
Osim redovnog napajanja električnom energijom iz distributivne mreže, u objektima se mora obezbediti i rezervni izvor snabdevanja električnom energijom sledećih uređaja i sistema:
1) sigurnosne rasveta evakuacionih puteva (stepeništa, hodnici, natpisi za bržu evakuaciju i sl.);
2) uređaja za podizanje pritiska u hidrantskoj mreži, ukoliko posebnim propisom nije drugačije uređeno;
3) instalacija za odvođenje dima i toplote nastalih u požaru;
4) instalacija i uređaja za automatsko otkrivanje i dojavu požara;
5) instalacija i uređaja za gašenje požara.
Napajanje električnom energijom uređaja i sistema iz stava 1. ovog člana mora se predvideti u trajanju predviđenom za rad navedenih sistema, a u skladu sa tehničkim propisima kojima je bliže uređena ta vrsta sistema, ali ne manje od 30 min.
Rezervni izvor za snabdevanje električnom energijom uređaja i sistema iz člana 24. ovog pravilnika mora se postaviti u prostoriju čiji su zidovi, međuspratna konstrukcija i vrata izvedeni od negorivih građevinskih materijala i otporni prema požaru u trajanju predviđenom za rad navedenih sistema, a u skladu sa tehničkim propisima kojima je bliže uređena ta vrsta sistema, ali ne manje od 30 min.
Rezervni izvor iz stava 1. ovog člana mora se automatski uključivati.
Prostorija iz stava 1. ovog člana, mora se dobro provetravati i ne sme biti ugrožena eksplozivnim atmosferama.
Osvetljenje znakova za usmeravanje kretanja lica i osvetljenje podova evakuacionih puteva u hitnim slučajevima mora biti u skladu sa odredbama standarda SRPS EN 1838, SRPS EN 60598-2-22 i SRPS EN 50172, koji bliže uređaju ovu oblast.
Električni razvod sistema, uređaja i instalacija, koji funkcionišu u režimu požara, mora obezbediti napajanje električnom energijom u periodu koji je definisan tehničkim propisima kojima je bliže uređena ta vrsta sistema, ali ne manje od 30 min.
Pogon hidrauličnog lifta i/ili teretnih platformi mora biti smešten u posebnu prostoriju koja se mora izvesti na način kojim se sprečava isticanje ulja iz prostorije izvođenjem praga na vratima, ugradnjom tehnološkog suda ili drugim tehničkim rešenjem, kako bi celokupna količina ulja u slučaju izlivanja ostala unutar prostorije.
Izuzetno od stava 1. ovog člana može se primeniti i drugo tehničko rešenje kojim se obezbeđuje zaštita od isticanja ulja.
Industrijski objekti moraju biti obezbeđeni spoljnom i unutrašnjom hidrantskom mrežom u skladu sa posebnim propisom.
Izuzetno od stava 1. ovog člana industrijski objekti ne moraju biti obezbeđeni unutrašnjom hidrantskom mrežom ukoliko je ukupna površina objekta manja od 150 m2 i proračunsko požarno opterećenje manje od 100 kWh/m2, kao i ukoliko se u industrijskom objektu radi sa negorivim materijalima (npr. opeka, kamen i sl. elementi za zidanje, keramički proizvodi, proizvodi od stakla, gipsa, zaleđeni proizvodi, metalni proizvodi, pića koja ne sadrže više od 16% alkohola, livnice, pogoni za dobijanje i hladnu obradu minerala, azbesta i soli, pogoni za proizvodnju negorivih gasova i sl.) i hladnim mokrim materijalima (npr. mokra odeljenja industrije tekstila i hartije, objekti za preradu ribe, mesa i mlečnih proizvoda, vodne stanice i sl.).
U industrijskim objektima, u zavisnosti od vrste tehnološkog procesa, mora se predvideti potreban broj mobilnih uređaja za gašenje požara, u skladu sa tehničkim propisima i uputstvima proizvođača uređaja i opreme.
XI PRORAČUNSKO ODREĐIVANJE POTREBNE OTPORNOSTI NA POŽAR ELEMENATA KONSTRUKCIJE
Radi utvrđivanja zahteva za otpornost prema požaru elemenata konstrukcije prema klasama bezbednosti od požara, računski se određuje ekvivalentno trajanje požara ta i proračunski potrebna otpornost prema požaru erftF, a u zavisnosti od različitih scenarija požara i načina dokazivanja.
Građevinske konstrukcije za razdvajanje požarnih sektora i njihove noseće konstrukcije moraju u pogledu svoje nosivosti da odgovaraju najmanje ekvivalentnom trajanju požara odnosno proračunski potrebnoj otpornosti prema požaru.
Proračunski potrebna otpornost prema požaru utvrđuje se za svaki požarni sektor, pri čemu se, radi utvrđivanja ekvivalentnog trajanja požara, polazi od prosečnog požarnog opterećenja i prosečnih uslova ventilacije u požarnom sektoru.
Kod požarnih sektora sa više etaža potrebno je da se, pored utvrđivanja ekvivalentnog trajanja požara u požarnom sektoru, odredi i ekvivalentno trajanje požara ta,Ei za svaku etažu.
Pojedinačni građevinski elementi svrstavaju se u jednu od sledećih klasa bezbednosti od požara (SKb3 do SKb1):
Klasa bezbednosti od požara SKb3
Građevinski elementi za koje se postavljaju visoki zahtevi:
1) zidovi i međuspratne konstrukcije, koji odvajaju požarne sektore;
2) noseći elementi i elementi za ukrućenje, čije otkazivanje može da dovede do urušavanja noseće konstrukcije (noseći deo konstrukcije, celokupne konstrukcije) ili konstrukcije požarnog sektora.
Klasa bezbednosti od požara SKb2
Građevinski elementi za koje se postavljaju srednji zahtevi:
1) građevinski elementi, čije otkazivanje ne može da dovede do urušavanja noseće konstrukcije (noseći deo konstrukcije, celokupne konstrukcije) ili konstrukcije požarnog sektora, kao što su neukrućene tavanice;
2) građevinski elementi noseće konstrukcije krova, čije otkazivanje može da dovede do urušavanja ostalog dela krovne konstrukcije požarnog sektora;
3) vrata otporna prema požaru i drugi slični elementi za zatvaranje otvora u pregradnim građevinskim konstrukcijama za koje su definisani određeni zahtevi u pogledu otpornosti;
4) nenoseći spoljni zid kod koga postoji mogućnost dejstva požara spolja;
5) krovni pokrivač kod koga postoji mogućnost dejstva požara spolja.
Klasa bezbednosti od požara SKb1
Građevinski elementi za koje se postavljaju niski zahtevi:
1) građevinski elementi noseće konstrukcije krova, ukoliko otkazivanje pojedinih elemenata ne dovodi do urušavanja ostalog dela krovne konstrukcije požarnog sektora.
Razvrstavanje noseće konstrukcije krova nije potrebno u slučaju kada je krov požarno odvojen od preostalog dela požarnog sektora i ako u tako izdvojenom prostoru krova ne postoje dodatna požarna opterećenja.
Razvrstavanje određenih građevinskih elemenata u klase bezbednosti od požara (npr. unutrašnji nenoseći pregradni zidovi unutar požarnog sektora, krovni pokrivač objekta koji ne predstavlja granicu požarnog sektora (npr. krovni paneli) i kod koga ne postoji mogućnost dejstva požara spolja, nenoseći spoljni zidovi objekta koji ne predstavljaju granicu požarnog sektora i kod kojih ne postoji mogućnost dejstva požara spolja i sl.) nije neophodno u okviru ovog postupka dokazivanja.
Za određivanje potrebne otpornosti prema požaru nosećih konstrukcija i konstrukcija za razdvajanje požarnih sektora potrebni su sledeći podaci:
1) namena pojedinih delova objekta odnosno požarnih sektora (npr. površine proizvodnog prostora, površine za skladištenje, saobraćajne ili slobodne površine, sporedne prostorije i sl.);
2) struktura objekta (npr. granične konstrukcije - vrsta, raspored i konstrukcija, broj etaža požarnog sektora, dimenzije i položaj požarnog sektora i sl.);
3) požarno opterećenje u požarnim sektorima (visina skladištenja robe, masa i energetska vrednost gorivih materijala, svojstvo gorenja, požarno opterećenje koje potiče od nezaštićenih materijala, požarno opterećenje u zatvorenim sistemima i sl.);
4) veličine koje utiču na izračunavanje ekvivalentnog trajanja požara (toplotno prigušenje graničnih konstrukcija - svojstvo prodiranja toplote, otvori za odvođenje toplote - vrsta, položaj i veličina i sl.);
5) druge veličine koje su od uticaja na izračunavanje proračunski potrebne otpornosti prema požaru (vatrogasna jedinica, stabilni sistemi za dojavu i gašenje požara i sl.).
Proračunska potrebna otpornost prema požaru erftF izražena u minutima izračunava se jednačinom:
![]()
pri tome je:
ta - ekvivalentno trajanje požara izraženo u [min];
γ - sigurnosna dopunska vrednost za građevinske konstrukcije određene klase bezbednosti od požara SKb3, SKb2 i SKb1;
αL - dodatna vrednost koja uzima u obzir ograničavanje širenja požara na osnovu tehničke zaštite od požara.
Ekvivalentno trajanje požara ta izraženo u minutima izračunava se jednačinom:
![]()
pri tome je:
qR - proračunsko požarno opterećenje izraženo u [kWh/m2];
c - faktor preračunavanja izražen u [min m2/kWh] dobija se iz Tabele 2. Preko ovog faktora uzima se u obzir uticaj svojstava provođenja toplote graničnih građevinskih konstrukcija (zidovi, međuspratne konstrukcije, tavanice, stakla);
w - faktor odvođenja toplote kao bezdimenzionalna korektivna vrednost kojom se uzima u obzir uticaj površina za odvođenje toplote nastale u slučaju požara i ocenjuje njihov uticaj na rasterećenje temperature građevinskih konstrukcija.
Kod požarnih sektora sa više etaža potrebno je da se, pored utvrđivanja ekvivalentnog trajanja požara u požarnom sektoru ta odredi i ekvivalentno trajanje požara ta,Ei za svaku etažu.
Za utvrđivanje ekvivalentnog trajanja požara ta,Ei posmatrane etaže je, pored proračunskog požarnog opterećenja qR,i, potrebno uzeti u obzir dodatni udeo proračunskog požarnog opterećenja qR,i-1 u nizu pretpostavljenog širenja požara iz etaže i-1 koja se nalazi ispod etaže i:
![]()
pri tome je:
ta,Ei - ekvivalentno trajanje požara na etaži i izraženo u [min];
ci - faktor preračunavanja izražen u [min m2/kWh] koji uzima u obzir uticaj svojstava provođenja toplote graničnih građevinskih konstrukcija na etaži i;
wi - faktor odvođenja toplote za etažu i;
qR,i - proračunsko požarno opterećenje na etaži i izraženo u [kWh/m2];
qR,i-1 - proračunsko požarno opterećenje na etaži i-1 izraženo u [kWh/m2];
βV - bezdimenzioni faktor za srazmerno razmatranje proračunskog požarnog opterećenja qR,i-1 na etaži i.
Bez daljeg dokazivanja može se uzeti da je βV= 0,3.
U slučaju kada se dobije da je ta,Ei < ta,Ei-1, tada je pod uslovima iz člana 37. ovog pravilnika potrebno uzeti ta,Ei = ta,Ei-1.
Ako se za neku etažu izračuna manje ekvivalentno trajanje požara ta,Ei nego što je ekvivalentno trajanje požara ta za požarni sektor, tada ovo manje ekvivalentno trajanje požara sme da se primeni samo ako se radi o najvišoj etaži nekog dela objekta.
Ako se za neku etažu izračuna veće ekvivalentno trajanje požara ta,Ei nego što je ekvivalentno trajanje požara ta za požarni sektor, tada za etažu iznad važi sledeće pravilo:
1) ako je zbir otvora u tavanici ≤ 2% od ukupne površine tavanice, tada je veće ekvivalentno trajanje požara ta,Ei merodavno samo za dotičnu etažu;
2) ako je zbir otvora u tavanici po etaži ≥ 20% od ukupne površine tavanice, tada je veće ekvivalentno trajanje požara ta,Ei merodavno i za etažu iznad;
3) kod otvora u tavanici između graničnih vrednosti navedenih u tač. 1) i 2) ovog člana, ekvivalentno trajanje požara ta,Ei se za etažu iznad izračunava linearnom interpolacijom;
4) kod površina otvora > 20 m2 je za etažu iznad merodavno veće ekvivalentno trajanje požara ta,Ei.
Proračunsko požarno opterećenje qR izraženo u [kWh/m2] određuje se iz proračunskog požarnog opterećenja nezaštićenih materijala (qR,u) i proračunskog požarnog opterećenja zaštićenih materijala u zatvorenim sistemima (qR,g):
![]()
Usvaja se da je minimalno proračunsko požarno opterećenje qR = 15 kWh/m2.
Proračunsko požarno opterećenje qR,u [kWh/m2] nezaštićenih materijala izračunava se na sledeći način:

pri tome je:
Mi - masa pojedinačnog nezaštićenog materijala u [kg];
Hui - energetska vrednost pojedinačnog materijala u [kWh/kg];
mi - faktor sagorevanja pojedinačnog gorivog materijala;
AB - površina požarnog sektora [m2]
Pod nezaštićenim materijalima podrazumevaju se svi gorivi sistemi, pogonski materijali i materijali za skladištenje, pakovanja, kao i gorivi građevinski materijali građevinskih konstrukcija uključujući pokrivke, ukoliko nije drugačije određeno.
Proračunsko požarno opterećenje qR,g [kWh/m2] zaštićenih materijala izračunava se na sledeći način:

pri tome je:
Mi - masa pojedinačnog zaštićenog materijala u [kg];
Hui - energetska vrednost pojedinačnog materijala u [kWh/kg];
mi - faktor sagorevanja pojedinačnog gorivog materijala;
AB - površina požarnog sektora [m2];
ψi - kombinovana dopunska vrednost.
Pod zaštićenim materijalima podrazumevaju se svi gorivi materijali u zatvorenim sistemima (npr. u cevovodima ili rezervoarima od čeličnog lima ili od drugih materijala sličnih karakteristika).
Prilikom proračuna sledeći gorivi materijali se ne uzimaju u obzir:
1) materijali koji se obrađuju ili skladište u takvom stanju da je pri očekivanom dejstvu požara isključeno njihovo gorenje (npr. gorivi materijali koji su stalno u mokrom stanju);
2) gorivi sastavni delovi građevinskih konstrukcija, pri čemu se pomoću jednog međusloja ili omotača od negorivih građevinskih materijala osigurava da gorivi delovi za vreme koje odgovara proračunskoj potrebnoj otpornosti prema požaru ne doprinose požaru;
3) građevinski elementi krovne noseće konstrukcije načinjeni od gorivih građevinskih materijala, koji su unutar požarnog sektora efikasno razdvojeni od preostalog dela požarnog sektora međuspratnom konstrukcijom (tavanicom), koji je sačinjen od negorivih građevinskih materijala dimenzionisanih najmanje za klasu bezbednosti od požara SKb3;
4) gasna pogonska sredstva u cevovodima (npr. od čelika ili drugih materijala sličnih požarnih svojstava), ukoliko u ostalom delu nije prekoračeno minimalno proračunsko požarno opterećenje iz stava 2. ovog člana;
5) električni kablovi i provodnici uključujući kablovske uvodnice u rasklopnim blokovima električnih instalacija koji su izrađeni od negorivih materijala.
Prilikom utvrđivanja površine požarnog sektora AB ne uračunavaju se površine slobodnih otvora i površine otvora sa rešetkastim i limenim platformama za koje se ne dimenzioniše potrebna otpornost prema požaru. Požarno opterećenje na ovim površinama, dodaje se površini etaže koja se nalazi ispod, a koja može da se uračunava.
U slučaju kada se proračun vrši za pojedine etaže požarnog sektora sa više etaža tada se umesto površine požarnog sektora AB uzima površina određene etaže AEi.
Faktor sagorevanja m je dodatna vrednost kojom se množi požarno opterećenje uz uvažavanje požarnih svojstava gorivih materijala u odgovarajućoj vrsti, obliku i raspodeli.
Faktor sagorevanja m i energetska vrednost pojedinačnog materijala Hui određuju se za svaki gorivi materijal zavisno od načina smeštaja, gustine, visine skladištenja i vlažnosti prema Tabeli 1. koja je odštampana uz ovaj Pravilnik i čini njegov sastavni deo.
Usvajanje faktora sagorevanja m < 0,2 nije dozvoljeno.
Preko kombinovane dopunske vrednosti ψi uzima se u obzir uzajamno dejstvo nezaštićenih i zaštićenih požarnih opterećenja.
Najnepovoljnije zaštićeno požarno opterećenje se ocenjuje sa kombinovanom dopunskom vrednosti ψi.
Kombinovana dopunska vrednosti ψi se pojednostavljeno može usvojiti:
1) za rezervoar/sistem sa najvećim požarnim opterećenjem ψi = 0,8
2) za sve druge rezervoare/sisteme ψi = 0,55
Za tečnosti sa tačkom paljenja >100°C (npr. hidraulična ulja, ulja za rezanje ili podmazivanje) koje se koriste u mašinama (npr. alatnim mašinama, presama, motorima, kompresorima) i koje se pri upotrebi ne zagrevaju iznad tačke paljenja, pri čemu je dodatno nezaštićeno proračunsko požarno opterećenje qR,u ≤ 45 kWh/m2, može se usvojiti:
1) za rezervoar/sistem sa najvećim požarnim opterećenjem ψi = 0,8;
2) za sve druge rezervoare/sisteme ψi = 0.
Ako je dodatno nezaštićeno proračunsko požarno opterećenje qR,u > 45 kWh/m2, tada se usvaja ψi = 1.
Faktor preračunavanja (c) izražen u [min m2/kWh] dat je u Tabeli 2. u zavisnosti od grupe uticaja graničnih građevinskih konstrukcija.
Tabela 2.
FAKTOR PRERAČUNAVANJA (c) |
|
c |
Grupa uticaja graničnih građevinskih konstrukcijaa |
0,15 |
I |
0,20 |
II |
0,25 |
III |
a Granične građevinske konstrukcije se prema provođenju toplote u slučaju požara klasifikuju na sledeći način: |
|
Preko faktora odvođenja toplote w uzima se u obzir uticaj površina (otvori, vrata ili prozori) za odvođenje toplote nastale u slučaju požara, pri čemu bitne faktore uticaja predstavljaju površine u gornjoj trećini spoljnih zidova i krovu, kao i merodavna visina požarnog sektora.
Pored uslova iz stava 1. potrebno je obezbediti i otvore za dovod svežeg vazduha ukupne površine najmanje jednake površini otvora za odvođenje toplote, ali ne manje od 6 m2, koji se postavljaju u donjoj polovini etaže ili makar u donjoj etaži posmatranog požarnog sektora i moraju da budu otvoreni ili izvedeni tako da se prilikom vatrogasne intervencije mogu lako otvoriti ili razbiti.
Faktor odvođenja toplote w može da se izračuna ili odredi grafički.
Kod izračunatih vrednosti kada je w < 0,5 uzima se da je w = 0,5.
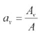
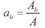
Faktor odvođenja toplote w posebno zavisi od odnosa površina vertikalnih otvora Av ili površina horizontalnih otvora Ah prema površini požarnog sektora AB, ili kod požarnih sektora sa više etaža prema površini etaže AEi.
Kod požarnih sektora sa više etaža potrebno je odrediti faktor odvođenja toplote wEi za svaku etažu, pri čemu se površine otvora koji se odnose na površinu osnove etaže obračunavaju prema članu 44. Za obračunski sektor uzima se površina etaže AEi. Odvođenje toplote preko horizontalnih otvora između etaža utvrđuje se prema čl. 45. i 46. ovog pravilnika.
Prilikom proračuna uzimaju se u obzir samo merodavne površine horizontalnih otvora u tavanici iznad pojedine etaže unutar požarnog sektora. Kod površina otvora na plafonima i krovu, koje odozdo prema gore postaju manje, za određivanje Ah merodavna je najmanja površina. Međutim, ako se površine na plafonima i na krovu odozdo prema gore povećavaju, za određivanje Ah merodavna je površina otvora iznad posmatrane etaže.
Površine za odvođenje toplote koje se uzimaju u obzir:
1) površine otvora u krovu ili zidovima koje stalno postoje i vode u slobodan prostor, kao i otvori u tavanicama etaža u okviru dokaza za etaže sa minimalnom veličinom pojedinačnog slobodnog otvora od 1 m2;
2) površine otvora opremljene uređajima za odvođenje dima i toplote koji se automatski otvaraju u slučaju dejstva dima ili toplote prema SRPS EN 12101-2;
3) površine vrata i ventilacionih otvora koji vode u slobodan prostor i sa spoljne strane mogu da se otvore bez primene sile, ukoliko je obezbeđeno otvaranje;
4) površine otvora sa staklom, koje se u potpunosti ili delimično razara u požaru;
5) površine otvora, koji su pokriveni materijalima ili zatvoreni i koji se u slučaju požara razaraju u periodu od najviše 15 min.
Stakla, čije uništavanje se ne očekuje u slučaju požara ili ne mogu da se otvore u slučaju požara (npr staklo otporno prema požaru, blindirano staklo, armirano staklo, sigurnosno staklo i sl.), ne smeju se uračunavati kao površine za odvođenje toplote.
Faktor odvođenja toplote w određuje se iz odnosa vrednosti av i ah:


pri tome je:
Av - površina vertikalnih otvora u spoljnim zidovima u [m2];
Ah - površina horizontalnih otvora u krovu tj. tavanici jedne etaže u [m2];
A - površina odgovarajućeg požarnog sektora (AB, AEi) u [m2].
Ukoliko nema horizontalnih površina za odvođenje toplote ili su male (ah ≤ 0,005) a vertikalne površine za odvođenje toplote pretežno se nalaze u donjoj površini prostorije, za Av se uzima samo:
![]()
pri tome je:
Av,ob - površina vertikalnih otvora u gornjoj polovini spoljnih zidova u [m2].
Faktor w se izračunava iz:
![]()
pri tome je:
wo - faktor kojima se uzimaju u obzir horizontalne i vertikalne površine za odvođenje toplote i određuje se iz grafika Slika 1.
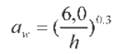
αw - faktor kojim se uzima u obzir srednja visina h određenog požarnog sektora;
h - prosečna unutrašnja visina određenog požarnog sektora, odnosno unutrašnja visina etaže u [m];
Faktor αw određuje se računski preko formule ili iz grafika Slika 2:

Kod utvrđivanja vrednosti wo i αw iz grafika sa Slike 1. i Slike 2. dozvoljena je interpolacija.
Slika 1. Faktor wo u zavisnosti od αv i αh

Slika 2. Faktor αw za uticaj prosečne unutrašnje visine na w faktor
Višeetažni požarni sektori sa otvorima < 20% na tavanicama i na krovu
Površine za odvođenje toplote kod višeetažnih požarnih sektora su površine predviđene za otvaranje. Ovaj uslov je ispunjen bez posebnog dokaza za površine za odvođenje toplote date u članu 43. stav 1. tač. 1) i 2) ovog pravilnika.
S obzirom na to da se odvođenje toplote u takvim prostorijama vrši konvekcijom, potrebno je, pored površina za odvođenje toplote, obezbediti i otvore za dovod svežeg vazduha u donjem delu prostora, nezavisno od odvoda toplote.
Kod požarnih sektora sa više etaža otvori u tavanicama mogu da se uračunaju kao horizontalni otvori za odvođenje toplote za pojedine etaže ako su u svim tavanicama jednake veličine i postavljeni u ležećem položaju jedan iznad drugog i ako na krovu postoje najmanje dva velika otvora jednake veličine.
Izuzetno od stava 3. ovog člana, mogu da se uračunaju i otvori koji nisu postavljeni jedan iznad drugog, odnosno koji su postavljeni pomereno, ukoliko su isti ravnomerno raspoređeni iznad tavanica i u zoni krova. Ravnomerno raspoređenim otvorima smatraju se otvori postavljeni na način kojim se obezbeđuje da postoji najmanje jedan otvor na 400 m2 u površinama koje leže jedna iznad druge.
Ako na svim etažama postoje jednake visine etaža ili ako više etaže imaju veću visinu, tada faktor odvođenja toplote treba odrediti prema jednačini iz člana 44. ovog pravilnika.
Ako je visina hi+1 ravni iznad i + 1 jednaka polovini visine hi posmatrane ravni (hi+1= 0,5 hi), tada faktor odvođenja toplote wi posmatrane ravni treba povećati za 25%. Kod vrednosti 0,5 < hi+1/hi < 1,0 može da se interpoliše.
Ako ne postoje ravnomerno raspoređeni otvori tada se, prilikom određivanja faktora odvođenja toplote, merodavna površina horizontalnih otvora umanjuje sa 0,8, odnosno u proračun uzimaju kao merodavne površine otvora Avi i 0,8.Ahi koje moraju biti u relaciji sa površinom etaže AEi.
Višeetažni požarni sektori sa otvorima ≥ 20% u tavanicama i na krovu koji se nalaze neposredno jedan iznad drugog
Kao merodavna visina za određivanje faktora αw prema članu 44. ovog pravilnika može se uzeti rastojanje između poda pojedine etaže i donje ivice krova.
Kod požarnih sektora kod kojih međuspratne konstrukcije nemaju klasifikovanu otpornost prema požaru, ne vrši se proračun za pojedinu etažu već se vrši proračun kao za jednoetažni požarni sektor, pri čemu se požarno opterećenje i površina otvora na krovu posmatraju u odnosu na površinu osnove požarnog sektora. Visina požarnog sektora u tom slučaju odgovara rastojanju između površine osnove i krova.
Sigurnosna dopunska vrednost γ određuje se iz Tabele 3. u zavisnosti od klase bezbednosti od požara SKb3, SKb2 i SKb1 građevinske konstrukcije i odgovarajućih površina.
Dopunska vrednost za druge površine, osim onih navedenih u Tabeli 3., može se dobiti linearnom interpolacijom.
Tabela 3.
SIGURNOSNA DOPUNSKA VREDNOST (γ) |
||||||
1 |
2 |
3 |
4 |
5 |
6 |
7 |
Površina požarnog sektora |
Objekat sa jednom etažom |
Požarni sektori sa više etaža |
||||
SKb3 |
SKb2 |
SKb1 |
SKb3 |
SKb2 |
SKb1 |
|
≤ 2.500 |
1,00 |
0,60 |
0,50 |
1.25 |
0.90 |
0,50 |
5.000 |
1,05 |
0,60 |
0,50 |
1,35 |
1,00 |
0,60 |
10.000 |
1,10 |
0,70 |
0,50 |
1,45 |
1,10 |
0,70 |
20.000 |
1,20 |
0,80 |
0,50 |
1,55 |
1,20 |
0,80 |
30.000 |
1,25 |
0,90 |
0,50 |
1,60 |
1,25 |
0,90 |
60.000 |
1,35 |
1,00 |
0,55 |
- |
- |
- |
120.000 |
1,50 |
1,10 |
0,60 |
- |
- |
- |
Dodatna vrednost αL uzima u obzir ograničavanje širenja požara u požarnom sektoru na osnovu infrastrukture u pogledu tehničke zaštite od požara, kao npr. vatrogasne jedinice, automatskih stabilnih sistema za dojavu i gašenje požara.
Dodatna vrednost dobija se prema Tabeli 4. kao proizvod brojeva iz kolona 1, 2 i 3. Ukoliko za kolone 1 do 3 ne postoje mere koje mogu da se uračunavaju, uzima se vrednost 1,0.
Tabela 4.
DODATNA VREDNOST (αL) |
|||
Vatrogasna jedinica |
Sistemi zaštite od požara |
||
Broj vatrogasaca a |
1 |
2 |
3 |
Uticaj vatrogasne jedinice |
Uticaj stabilnih sistema za dojavu požara |
Uticaj stabilnih sistem za gašenje požara |
|
Numeričke vrednosti faktora uticaja |
|||
13 |
0,90 |
0,90 |
0,60 |
17 |
0,85 |
||
21 |
0,80 |
||
25 |
0,70 |
||
33 |
0,60 |
||
a Broj vatrogasaca mora biti ravnomerno raspoređen po smenama |
|||
Ako je ukupna ocena mera iz Tabele 4. αL ≤ 0,85, tada korektivna vrednost αL može da se smanji na:
1) 80% pri qR ≤ 45 kWh/m2;
2) 90% pri qR ≤ 100 kWh/m2.
Klasifikacija proračunske potrebne otpornosti na požar
Proračunska potrebna otpornost prema požaru erftF klasifikuje se prema nazivnoj potrebnoj otpornosti na požar na sledeći način:
1) 0 < erftF ≤ 15 min bez zahteva za otpornost prema požaru;
2) 15 < erftF ≤ 30 min mala otpornost prema požaru - klasa otpornosti 30 min;
3) 30 < erftF ≤ 60 min veća otpornost prema požaru - klasa otpornosti 60 min;
4) 60 < erftF ≤ 90 min velika otpornost na požar - klasa otpornosti 90 min.
Otpornost prema požaru elemenata konstrukcije prema klasama bezbednosti od požara mora odgovarati najmanje proračunski potrebnoj otpornosti prema požaru koja ne može biti veća od 90 min.
Noseća čelična konstrukcija objekta mora ispunjavati zahteve koji odgovaraju najmanje proračunski potrebnom vremenu otpornosti prema požaru.
Ako se aktivnim i pasivnim merama obezbedi da temperatura u čeličnoj konstrukciji objekta ne prelazi 500 ºC nije potreban proračunski dokaz nosivosti (R) čelične konstrukcije na dejstvo požara.
Ako se iz proračuna za klasu bezbednosti od požara SKb3, dobije proračunska potrebna otpornost prema požaru veća od 90 min, tada se postupak proračuna ponavlja sa korigovanim podacima potrebnim za proračun iz člana 33. ovog pravilnika.
Ovaj pravilnik stupa na snagu osmog dana od dana objavljivanja u "Službenom glasniku Republike Srbije".
Tabela 1.









